Letztes “update” :
18/03/2026
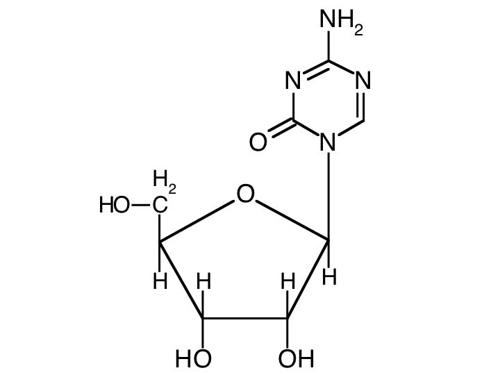
Antikrebsmittel   Azacitidine  
Injektion
Stabilität der Lösung Gemengestabilität Stabilitätbeeinflussende Faktoren Kompatibilitäten Applikationsart Literaturverzeichnis pdf
   Chemische Struktur  

Handelsmarke   Handelsmarke     

Handelsnamen sind als beispielhaft anzusehen. Sonstige Bestandteile können je nach Hersteller oder Land verschieden sein

Amilix Argentinien
Arquimes Argentinien
Azacimyl Chile
Azacitidina Argentinien, Chile, Peru
Azacitidine Deutschland, Vereinigte Staaten von Amerika
Azacor Peru
Azadin Türkei
Azamex Argentinien
Azanova Argentinien
Azateva Argentinien
Azida Türkei
Azitech Argentinien
Citofin Argentinien
Iclacitidina Peru
Iterbil Argentinien
Maturus Argentinien
Mietozitidina Argentinien, Peru
Nimodac Argentinien
Remitiva Chile
Tazadir Argentinien
Vidaza Argentinien, Australien, Belgien, Brasilien, Chile, Deutschland, Finnland, Frankreich, Großbritannien, Island, Italien, Japan, Kanada, Kolumbien, Kroatien, Luxemburg, Malaysia, Mexiko, Neuseeland, Norwegen, Peru, Rumänien, Schweden, Schweiz, Slowenien, Spanien, Tunesien, Türkei, Ungarn, Vereinigte Staaten von Amerika
Zacidonel Mexiko
Zylatadina Argentinien
Stabilität der Lösung   Injektion   Stabilität der Lösung : Azacitidine     
Behälter Lösungsmittel Konzentration Temperatur Konservierung Dauer der Stabilität Literaturverzeichnis
Glas Wasser für injektable präparate 10 & 25 mg/ml 25°C Nicht genau angegeben
2 Stunde
4227
Evidenzgrad B

Glas Wasser für injektable präparate 25 mg/ml 2-8°C Nicht genau angegeben
8 Stunde
3236
Stabilitätsdaten des Herstellers

Glas Wasser für injektable präparate 25 mg/ml 25°C Nicht genau angegeben
0.75 Stunde
3236
Stabilitätsdaten des Herstellers

Glas 0,9% Natriumchlorid 0.2 mg/ml 25°C Nicht genau angegeben
1.9 Stunde
1039
Evidenzgrad D

Glas 0,9% Natriumchlorid 2 mg/ml 25°C Nicht genau angegeben
2.4 Stunde
1039
Evidenzgrad D

Glas Ringer Lactat - Lösung 0.2 mg/ml 25°C Nicht genau angegeben
1.9 Stunde
1039
Evidenzgrad D

Glas Ringer Lactat - Lösung 2 mg/ml 25°C Nicht genau angegeben
2.8 Stunde
1039
Evidenzgrad D

Glas Wasser für injektable präparate (4°C) 10 & 25 mg/ml -20°C Nicht genau angegeben
21 Tag
4227
Evidenzgrad B

Glas Wasser für injektable präparate (4°C) 10 & 25 mg/ml 25°C Nicht genau angegeben
4 Stunde
4227
Evidenzgrad B

Glas Wasser für injektable präparate (4°C) 10 & 25 mg/ml 4°C Nicht genau angegeben
24 Stunde
4227
Evidenzgrad B

widersprüchliche Daten
Glas Wasser für injektable präparate (4°C) 25 mg/ml 2-8°C Ohne Licht
22 Stunde
3236
Stabilitätsdaten des Herstellers

Polypropylen 0,9% Natriumchlorid 1.4 >> 2.4 mg/ml 4°C Nicht genau angegeben
3 Stunde
3816
Evidenzgrad D

Polypropylen Wasser für injektable präparate (4°C) 10 & 25 mg/ml -20°C Nicht genau angegeben
21 Tag
4227
Evidenzgrad B

Polypropylen Wasser für injektable präparate (4°C) 10 & 25 mg/ml 4°C Nicht genau angegeben
24 Stunde
4227
Evidenzgrad B

widersprüchliche Daten
 Spritze Polypropylen Ringer Lactat - Lösung 0.5 mg/ml -20°C Ohne Licht
30 Tag
414
Evidenzgrad D

 Spritze Polypropylen Ringer Lactat - Lösung 0.5 & 2 mg/ml 20°C Nicht genau angegeben
2 Stunde
414
Evidenzgrad D

 Spritze Polypropylen Ringer Lactat - Lösung 2 mg/ml -20°C Ohne Licht
18 Tag
414
Evidenzgrad D

 Spritze Polypropylen Wasser für injektable präparate (4°C) 25 mg/ml -20°C Ohne Licht
8 Tag
3204
Evidenzgrad A

 Spritze Polypropylen Wasser für injektable präparate (4°C) 25 mg/ml -20°C Nicht genau angegeben
23 Tag
3351
Evidenzgrad B

 Spritze Polypropylen Wasser für injektable präparate (4°C) 25 mg/ml -20°C Ohne Licht
30 Tag
3818
Evidenzgrad A

 Spritze Polypropylen Wasser für injektable präparate (4°C) 25 mg/ml -20°C Ohne Licht
28 Tag
4697
Evidenzgrad C

 Spritze Polypropylen Wasser für injektable präparate (4°C) 25 mg/ml 2-8°C Ohne Licht
48 Stunde
3534
Evidenzgrad A

widersprüchliche Daten
 Spritze Polypropylen Wasser für injektable präparate (4°C) 25 mg/ml 2-8°C Ohne Licht
3 Tag
3818
Evidenzgrad A

widersprüchliche Daten
 Spritze Polypropylen Wasser für injektable präparate (4°C) 25 mg/ml 2-8°C Ohne Licht
48 Stunde
4628
Evidenzgrad A+

widersprüchliche Daten
 Spritze Polypropylen Wasser für injektable präparate (4°C) 25 mg/ml 2-8°C Ohne Licht
4 Tag
4697
Evidenzgrad C

widersprüchliche Daten
 Spritze Polypropylen Wasser für injektable präparate (4°C) 25 mg/ml 20-25°C Ohne Licht
2 Stunde
4697
Evidenzgrad C

 Spritze Polypropylen Wasser für injektable präparate (4°C) 25 mg/ml 4°C Ohne Licht
5 Tag
3246
Evidenzgrad A+

widersprüchliche Daten

  Mentions Légales