Ultimele actualizari :
18/03/2026
Antibiotic   Colistin mesilate sodium  
Injectabil
Aerosol
Stabilitatea in solutie Stabilitatea in amestec Factorii care influenteaza stabilitatea Compatibilitate Microunde Bibliografie pdf
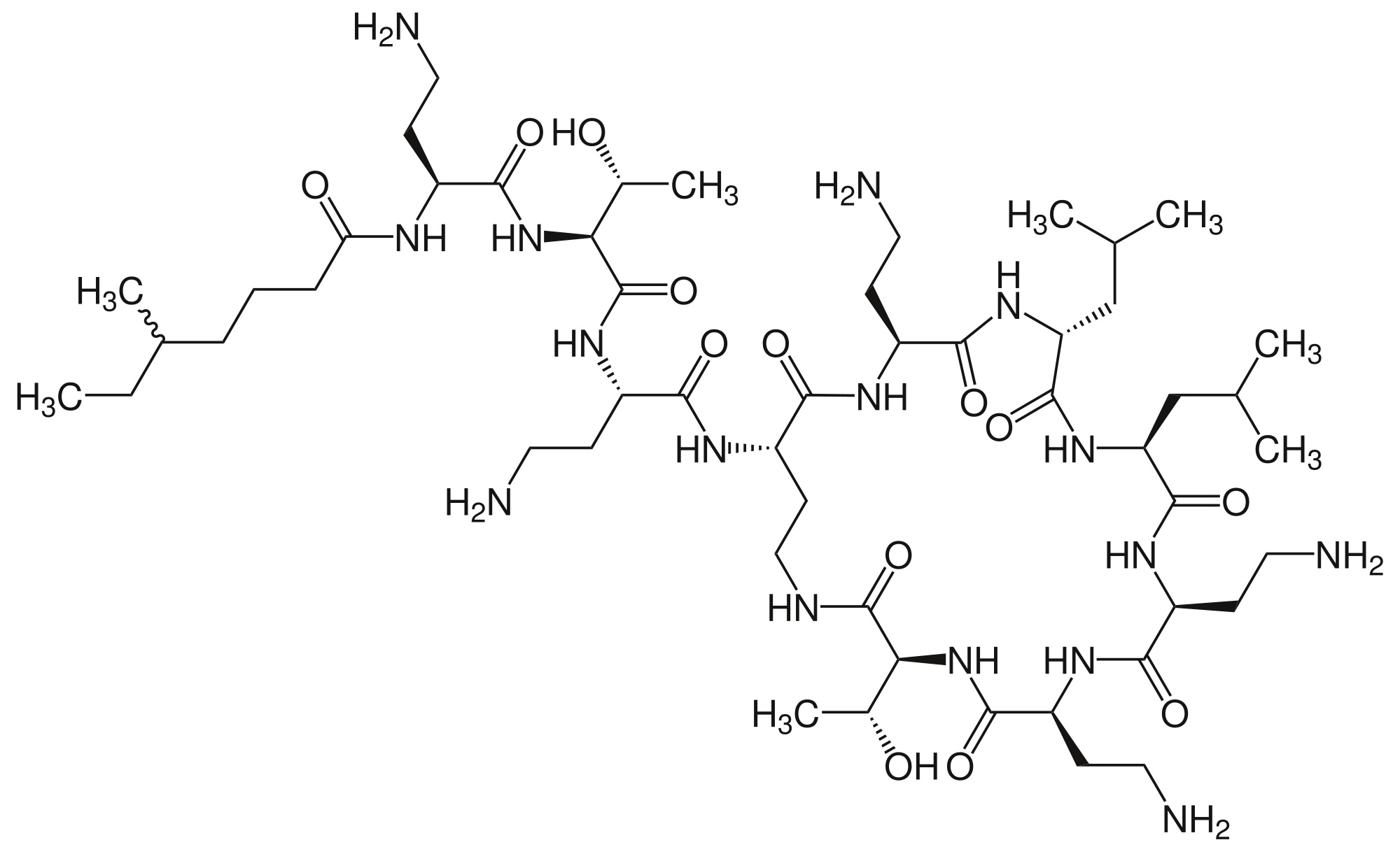
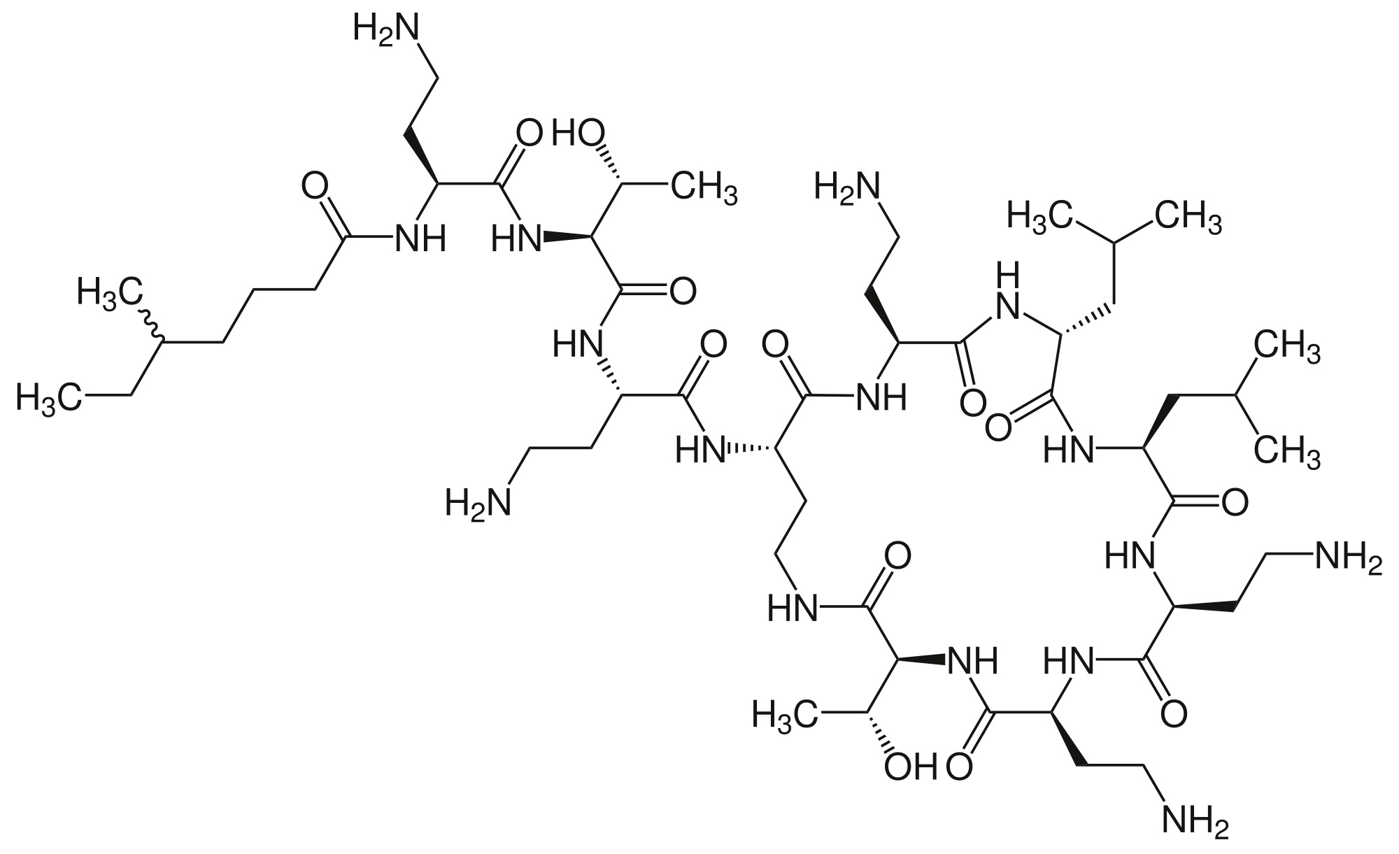
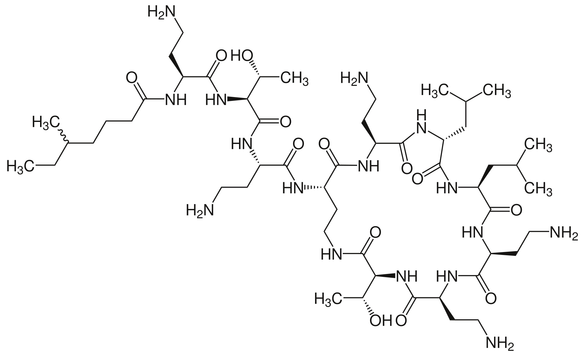
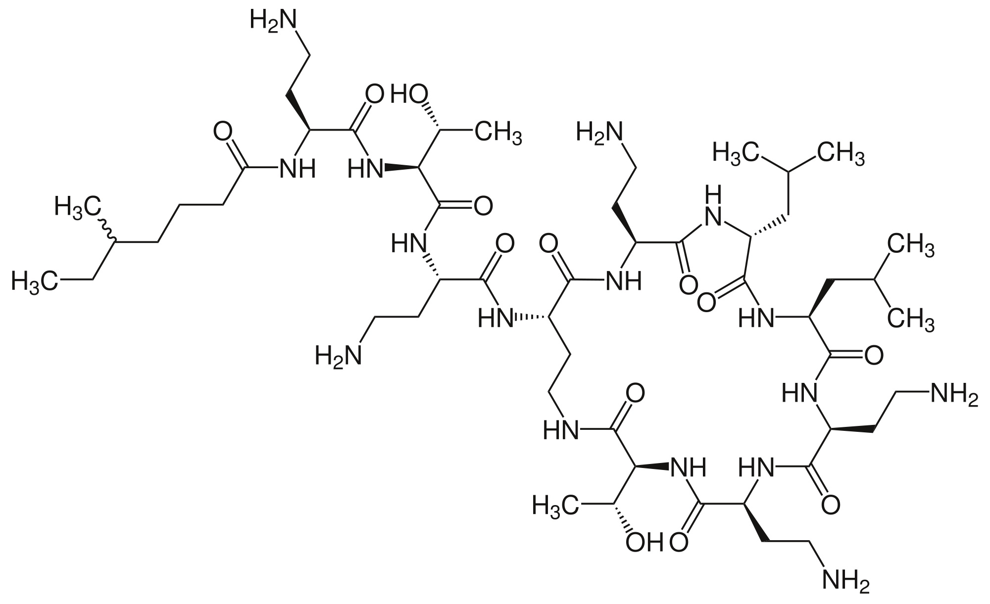
   Formula chimica  

Denumirea comerciala   Denumirea comerciala     

Trade names are indicative and excipients composition can be different depending on the country and manufacturers

Alficetin Argentina
Colimicina Italia
Colimycin Danemarca, Norvegia, Turcia
Colimycine Franta, Luxemburg, Maroc, Olanda, Tunisia
Colismet Peru
Colistimethate Canada, Franta, Marea Britanie, SUA
Colistin Austria, Germania, Grecia, noua Zeelandă, Polonia
Colistina Argentina, Chilli, Portugalia
Colistineb Belgia
Colistyn Argentina
Colixin Slovenia
Colomycin Canada, Irlanda, Malaezia, Marea Britanie, SUA
Dicupal Chilli
Elistin Peru
Kolisod Turcia
Nolisin
Promixin Germania, Irlanda, Marea Britanie, Norvegia
Toliscrin Argentina
Bibliografie   Injectabil   Bibliografie : Colistin mesilate sodium  
tip publicare
1201 ziar Yuhas EM, Lofton FT, Rosenberg HA, Mayron D, Baldinus JG.
Cimetidine hydrochloride compatibility III: Room temperature stability in drug admixtures.
Am J Hosp Pharm 1981 ; 38: 1919-1922.
2285 ziar Wallace SJ, Li J, Rayner CR, Coulthard K, Nation RL.
Stability of colistin methanesulfonate in pharmaceutical products and solutions for administration to patients.
Antimicrob Agents Chemother 2008 ; 52, 9: 3047-3051.
2550 ziar Roberts GW, Rossi S.O.P.
Compatibility of nebulizer solutions
Aust J Hosp Pharm 1993 ; 23: 35-37.
2783 ziar Abdulla A,.van Leeuwen R.W.F, de Vries Schultink A.H.M,.Koch B.C.P.
Stability of colistimethate sodium in a disposable elastomeric infusion device.
Int J Pharm 2015 ; 486; 1-2: 367-369.
3254 ziar Housman S.T, Tessier P.R, Nicolau D.P, Kuti J.L.
Physical compatibility of telavancin hydrochloride with select i.v. drugs during simulated Y-site administration
Am J Health-Syst Pharm 2011 ; 68: 2265-2270.
3360 ziar Healan A. M, Gray W, Fuchs E.J, Griffiss J.M, Salata R.A, Blumer J.
Stability of Colistimethate Sodium in Aqueous Solution.
Antimicrob Agents Chemother 2012 ; 56:6432-6433.
3674 Laborator Erythromycin lactobionate - Summary of Product Characteristics
PanPharma 2016
3827 poster Ghazi I.M, Hamada Y, Nicolau D.P.
Compatibility of tedizolid phosphate with selected intravenous drugs via simulated Y-site conditions.
ASHP Midyear 2015
3828 poster Thabit A.K, Hamada Y, Nicolau D.P.
Ceftozolane/tazobactam physical compatibility during simulated Y-site administration.
ASHP Midyear 2015
3829 poster So W, Kim L, Thabit A.K, Nicolau D.P, Kuti J.L.
Compatibility of isavunazonium sulfate during simulated Y-site administration.
ASHP Midyear 2015
3997 ziar Katip W.
Visual compatibility of colistin injection with other antibiotics during simulated Y-site administration.
Am J Health-Syst Pharm 2017 ; 74:14 : 1099-1102
4055 ziar Monogue M, Almarzoky Abuhussain S, Kuti J, Nicolau D.
Physical compatibility of fosfomycin for injection with select i.v. drugs during simulated Y-site administration.
Am J Health-Syst Pharm 2018 , 75, 1:36-44
4145 ziar Asempa T.E, Avery L.M, Kidd J.M, Kuti J.L, Nicolau D.P.
Physical compatibility of plazomicin with select i.v. drugs during simulated Y-site administration.
Am J Health-Syst Pharm 2018 ;75,14:1048-1056
4178 ziar Post T.E, Kamerling I, van Rossen R, Burggraaf J, Stevens J, Dijkmans A, Heijerman H, Touw D, van Velzen A, Wilms E.
Colistin methanesulfonate infusion solutions are stable over time and suitable for home administration.
EJHP 2017 ; 25, e2
4319 ziar Lessard J-J, Caron E, Schérer H, Forest J-M, Leclair G.
Compatibility of Y-site Injection of Meropenem Trihydrate With 101 Other Injectable Drugs.
Hosp Pharm 2020 ; 55, 5: 332-337.
4434 ziar Avery L.M, Chen, I.H, Reyes, S, Nicolau, D.P, Kuti J.L.
Assessment of the Physical Compatibility of Eravacycline and Common Parenteral Drugs During Simulated Y-site Administration.
Clin Ther 2019 ; 41, 10: 2162-2170.
4438 ziar Stawny M, Gostyńska A, Nadolna M, Jelińska A.
Safe Practice of Y-Site Drug Administration: The Case of Colistin and Parenteral Nutrition
Pharmaceutics 2020 ; 12: 292
4528 ziar Lu J, Liu Q, Kupiec T, Vail H, Lunch L, Fam D, Vu N.
Physical Compatibility of Cefiderocol with Selected Intravenous Drugs During Simulated Y-site Administration.
Int J Pharm Compound 2021 ;25,1:52-61
4801 ziar Ruiz V, Yuwei Shen Y, Abouelhassan Y, Fouad A, Nicolau D, Kuti J.
Physical compatibility of sulbactam/durlobactam with select intravenous drugs during simulated Y-site administration.
Am J Health-Syst Pharm 2024 ;51,1:
4855 ziar Dettlaff K, Kowalska A, Gostyńska A.
Physical compatibility of colistin with analgesics during simulated Y-site administration.
Am J Hosp Pharm 2024 ;81,13:365-371
4975 Laborator Colomycin 1 million International Units (IU) Powder for solution for injection, infusion orinhalation Summary of Product Characteristics Updated 12-Jul-2023.
Teva UK Limited 2023

  Mentions Légales