Laatste update :
27/11/2025
Antibioticum   Colistin mesilate sodium  
injecteerbaar geneesmiddel
Aerosol
Stabiliteit in oplossing Stabiliteit in mengsels Factoren die de stabiliteit beïnvloeden Verenigbaarheden Toedieningswijze Literatuur pdf
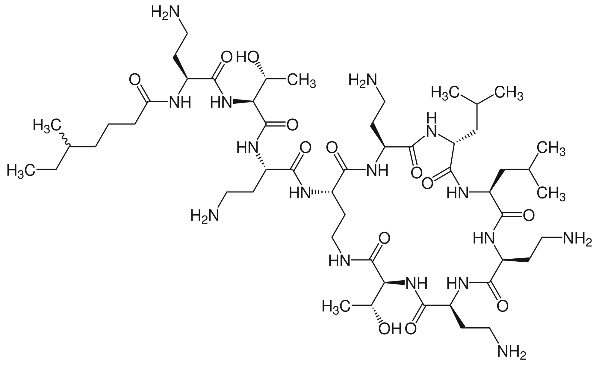
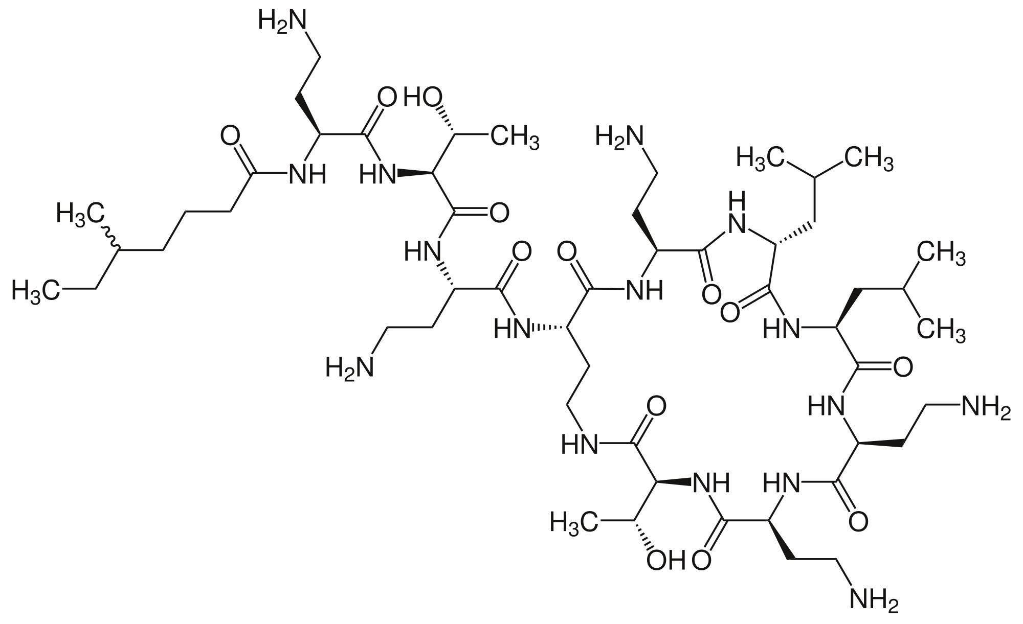
   Molecuulstructuur  

Merknamen in verschillende landen   Merknamen in verschillende landen     

Handelsnamen zijn slechts een indicatie; de samenstelling van hulpstoffen kan per land variëren afhankelijk van de fabrikant

Alficetin Argentinië
Colimicina Italië
Colimycin Denemarken, Noorwegen, Turkije
Colimycine Frankrijk, Luxemburg, Marokko, Nederland, Tunisie
Colismet Peru
Colistimethate Canada, Frankrijk, Groot Britannië, USA
Colistin Duitsland, Griekenland, nieuw Zeeland, Oostenrijk, Polen
Colistina Argentinië, Chili, Portugal
Colistineb België
Colistyn Argentinië
Colixin Slovenië
Colomycin Canada, Groot Britannië, Ierland, Maleisië, USA
Dicupal Chili
Elistin Peru
Kolisod Turkije
Nolisin
Promixin Duitsland, Groot Britannië, Ierland, Noorwegen
Toliscrin Argentinië
Literatuur   injecteerbaar geneesmiddel   Literatuur : Colistin mesilate sodium  
type publicatie
1201 Artikel Yuhas EM, Lofton FT, Rosenberg HA, Mayron D, Baldinus JG.
Cimetidine hydrochloride compatibility III: Room temperature stability in drug admixtures.
Am J Hosp Pharm 1981 ; 38: 1919-1922.
2285 Artikel Wallace SJ, Li J, Rayner CR, Coulthard K, Nation RL.
Stability of colistin methanesulfonate in pharmaceutical products and solutions for administration to patients.
Antimicrob Agents Chemother 2008 ; 52, 9: 3047-3051.
2550 Artikel Roberts GW, Rossi S.O.P.
Compatibility of nebulizer solutions
Aust J Hosp Pharm 1993 ; 23: 35-37.
2783 Artikel Abdulla A,.van Leeuwen R.W.F, de Vries Schultink A.H.M,.Koch B.C.P.
Stability of colistimethate sodium in a disposable elastomeric infusion device.
Int J Pharm 2015 ; 486; 1-2: 367-369.
3254 Artikel Housman S.T, Tessier P.R, Nicolau D.P, Kuti J.L.
Physical compatibility of telavancin hydrochloride with select i.v. drugs during simulated Y-site administration
Am J Health-Syst Pharm 2011 ; 68: 2265-2270.
3360 Artikel Healan A. M, Gray W, Fuchs E.J, Griffiss J.M, Salata R.A, Blumer J.
Stability of Colistimethate Sodium in Aqueous Solution.
Antimicrob Agents Chemother 2012 ; 56:6432-6433.
3674 fabrikant Erythromycin lactobionate - Summary of Product Characteristics
PanPharma 2016
3827 Poster Ghazi I.M, Hamada Y, Nicolau D.P.
Compatibility of tedizolid phosphate with selected intravenous drugs via simulated Y-site conditions.
ASHP Midyear 2015
3828 Poster Thabit A.K, Hamada Y, Nicolau D.P.
Ceftozolane/tazobactam physical compatibility during simulated Y-site administration.
ASHP Midyear 2015
3829 Poster So W, Kim L, Thabit A.K, Nicolau D.P, Kuti J.L.
Compatibility of isavunazonium sulfate during simulated Y-site administration.
ASHP Midyear 2015
3997 Artikel Katip W.
Visual compatibility of colistin injection with other antibiotics during simulated Y-site administration.
Am J Health-Syst Pharm 2017 ; 74:14 : 1099-1102
4055 Artikel Monogue M, Almarzoky Abuhussain S, Kuti J, Nicolau D.
Physical compatibility of fosfomycin for injection with select i.v. drugs during simulated Y-site administration.
Am J Health-Syst Pharm 2018 , 75, 1:36-44
4145 Artikel Asempa T.E, Avery L.M, Kidd J.M, Kuti J.L, Nicolau D.P.
Physical compatibility of plazomicin with select i.v. drugs during simulated Y-site administration.
Am J Health-Syst Pharm 2018 ;75,14:1048-1056
4178 Artikel Post T.E, Kamerling I, van Rossen R, Burggraaf J, Stevens J, Dijkmans A, Heijerman H, Touw D, van Velzen A, Wilms E.
Colistin methanesulfonate infusion solutions are stable over time and suitable for home administration.
EJHP 2017 ; 25, e2
4319 Artikel Lessard J-J, Caron E, Schérer H, Forest J-M, Leclair G.
Compatibility of Y-site Injection of Meropenem Trihydrate With 101 Other Injectable Drugs.
Hosp Pharm 2020 ; 55, 5: 332-337.
4434 Artikel Avery L.M, Chen, I.H, Reyes, S, Nicolau, D.P, Kuti J.L.
Assessment of the Physical Compatibility of Eravacycline and Common Parenteral Drugs During Simulated Y-site Administration.
Clin Ther 2019 ; 41, 10: 2162-2170.
4438 Artikel Stawny M, Gostyńska A, Nadolna M, Jelińska A.
Safe Practice of Y-Site Drug Administration: The Case of Colistin and Parenteral Nutrition
Pharmaceutics 2020 ; 12: 292
4528 Artikel Lu J, Liu Q, Kupiec T, Vail H, Lunch L, Fam D, Vu N.
Physical Compatibility of Cefiderocol with Selected Intravenous Drugs During Simulated Y-site Administration.
Int J Pharm Compound 2021 ;25,1:52-61
4801 Artikel Ruiz V, Yuwei Shen Y, Abouelhassan Y, Fouad A, Nicolau D, Kuti J.
Physical compatibility of sulbactam/durlobactam with select intravenous drugs during simulated Y-site administration.
Am J Health-Syst Pharm 2024 ;51,1:
4855 Artikel Dettlaff K, Kowalska A, Gostyńska A.
Physical compatibility of colistin with analgesics during simulated Y-site administration.
Am J Hosp Pharm 2024 ;81,13:365-371
4975 fabrikant Colomycin 1 million International Units (IU) Powder for solution for injection, infusion orinhalation Summary of Product Characteristics Updated 12-Jul-2023.
Teva UK Limited 2023

  Mentions Légales