Ostatnia aktualizacja :
18/03/2026
Antybiotyk   Colistin mesilate sodium  
Injekcje
Aerozol
Trwałość roztworów Trwałość w mieszaninie Czynnik wpływający na trwałość Zgodność Sposób podania Bibliografia pdf
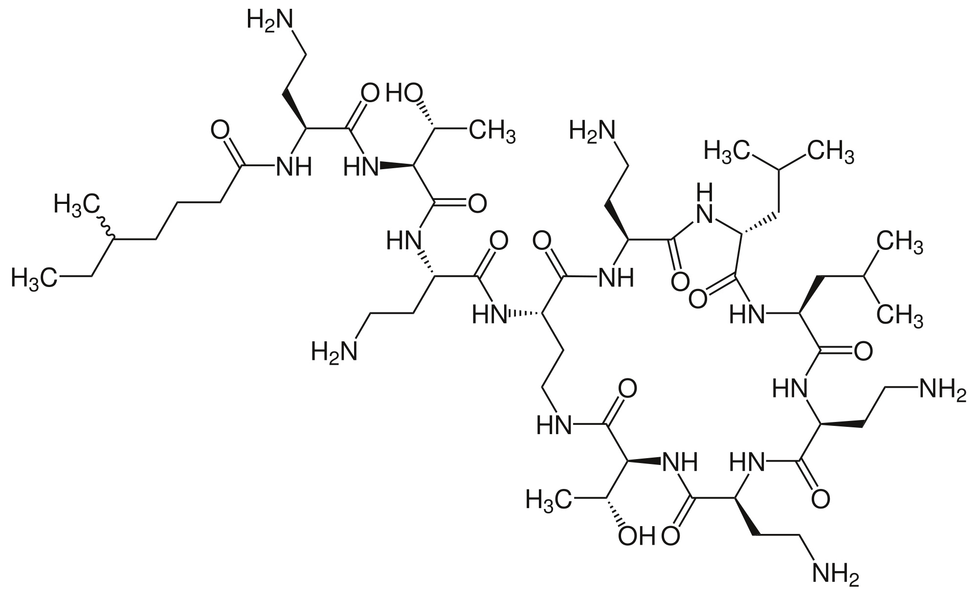
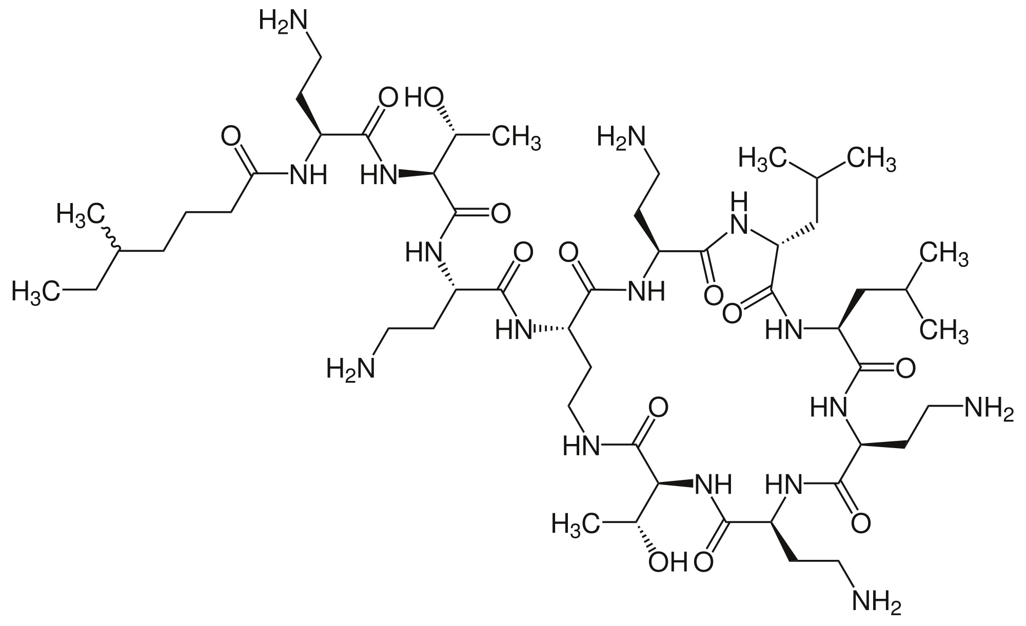
   Struktura chemiczna  

Nazwa handlowa   Nazwa handlowa     

Trade names are indicative and excipients composition can be different depending on the country and manufacturers

Alficetin Argentyna
Colimicina Włochy
Colimycin Dania, Norwegia, Turcja
Colimycine Francja , Holandia, Luksemburg, Maroko, Tunisie
Colismet Peru
Colistimethate Francja , Kanada, Stany Zjednoczone Ameryki, Wielka Brytania
Colistin Austria, Grecja, Niemcy, nowa Zelandia, Polska
Colistina Argentyna, Chile, Portugalia
Colistineb Belgia
Colistyn Argentyna
Colixin Słowenia
Colomycin Irlandia, Kanada, Malezja, Stany Zjednoczone Ameryki, Wielka Brytania
Dicupal Chile
Elistin Peru
Kolisod Turcja
Nolisin
Promixin Irlandia, Niemcy, Norwegia, Wielka Brytania
Toliscrin Argentyna
Bibliografia   Injekcje   Bibliografia : Colistin mesilate sodium  
typ publikacja
1201 Czasopismo Yuhas EM, Lofton FT, Rosenberg HA, Mayron D, Baldinus JG.
Cimetidine hydrochloride compatibility III: Room temperature stability in drug admixtures.
Am J Hosp Pharm 1981 ; 38: 1919-1922.
2285 Czasopismo Wallace SJ, Li J, Rayner CR, Coulthard K, Nation RL.
Stability of colistin methanesulfonate in pharmaceutical products and solutions for administration to patients.
Antimicrob Agents Chemother 2008 ; 52, 9: 3047-3051.
2550 Czasopismo Roberts GW, Rossi S.O.P.
Compatibility of nebulizer solutions
Aust J Hosp Pharm 1993 ; 23: 35-37.
2783 Czasopismo Abdulla A,.van Leeuwen R.W.F, de Vries Schultink A.H.M,.Koch B.C.P.
Stability of colistimethate sodium in a disposable elastomeric infusion device.
Int J Pharm 2015 ; 486; 1-2: 367-369.
3254 Czasopismo Housman S.T, Tessier P.R, Nicolau D.P, Kuti J.L.
Physical compatibility of telavancin hydrochloride with select i.v. drugs during simulated Y-site administration
Am J Health-Syst Pharm 2011 ; 68: 2265-2270.
3360 Czasopismo Healan A. M, Gray W, Fuchs E.J, Griffiss J.M, Salata R.A, Blumer J.
Stability of Colistimethate Sodium in Aqueous Solution.
Antimicrob Agents Chemother 2012 ; 56:6432-6433.
3674 Laboratorium Erythromycin lactobionate - Summary of Product Characteristics
PanPharma 2016
3827 plakat Ghazi I.M, Hamada Y, Nicolau D.P.
Compatibility of tedizolid phosphate with selected intravenous drugs via simulated Y-site conditions.
ASHP Midyear 2015
3828 plakat Thabit A.K, Hamada Y, Nicolau D.P.
Ceftozolane/tazobactam physical compatibility during simulated Y-site administration.
ASHP Midyear 2015
3829 plakat So W, Kim L, Thabit A.K, Nicolau D.P, Kuti J.L.
Compatibility of isavunazonium sulfate during simulated Y-site administration.
ASHP Midyear 2015
3997 Czasopismo Katip W.
Visual compatibility of colistin injection with other antibiotics during simulated Y-site administration.
Am J Health-Syst Pharm 2017 ; 74:14 : 1099-1102
4055 Czasopismo Monogue M, Almarzoky Abuhussain S, Kuti J, Nicolau D.
Physical compatibility of fosfomycin for injection with select i.v. drugs during simulated Y-site administration.
Am J Health-Syst Pharm 2018 , 75, 1:36-44
4145 Czasopismo Asempa T.E, Avery L.M, Kidd J.M, Kuti J.L, Nicolau D.P.
Physical compatibility of plazomicin with select i.v. drugs during simulated Y-site administration.
Am J Health-Syst Pharm 2018 ;75,14:1048-1056
4178 Czasopismo Post T.E, Kamerling I, van Rossen R, Burggraaf J, Stevens J, Dijkmans A, Heijerman H, Touw D, van Velzen A, Wilms E.
Colistin methanesulfonate infusion solutions are stable over time and suitable for home administration.
EJHP 2017 ; 25, e2
4319 Czasopismo Lessard J-J, Caron E, Schérer H, Forest J-M, Leclair G.
Compatibility of Y-site Injection of Meropenem Trihydrate With 101 Other Injectable Drugs.
Hosp Pharm 2020 ; 55, 5: 332-337.
4434 Czasopismo Avery L.M, Chen, I.H, Reyes, S, Nicolau, D.P, Kuti J.L.
Assessment of the Physical Compatibility of Eravacycline and Common Parenteral Drugs During Simulated Y-site Administration.
Clin Ther 2019 ; 41, 10: 2162-2170.
4438 Czasopismo Stawny M, Gostyńska A, Nadolna M, Jelińska A.
Safe Practice of Y-Site Drug Administration: The Case of Colistin and Parenteral Nutrition
Pharmaceutics 2020 ; 12: 292
4528 Czasopismo Lu J, Liu Q, Kupiec T, Vail H, Lunch L, Fam D, Vu N.
Physical Compatibility of Cefiderocol with Selected Intravenous Drugs During Simulated Y-site Administration.
Int J Pharm Compound 2021 ;25,1:52-61
4801 Czasopismo Ruiz V, Yuwei Shen Y, Abouelhassan Y, Fouad A, Nicolau D, Kuti J.
Physical compatibility of sulbactam/durlobactam with select intravenous drugs during simulated Y-site administration.
Am J Health-Syst Pharm 2024 ;51,1:
4855 Czasopismo Dettlaff K, Kowalska A, Gostyńska A.
Physical compatibility of colistin with analgesics during simulated Y-site administration.
Am J Hosp Pharm 2024 ;81,13:365-371
4975 Laboratorium Colomycin 1 million International Units (IU) Powder for solution for injection, infusion orinhalation Summary of Product Characteristics Updated 12-Jul-2023.
Teva UK Limited 2023

  Mentions Légales