Ostatnia aktualizacja :
18/03/2026
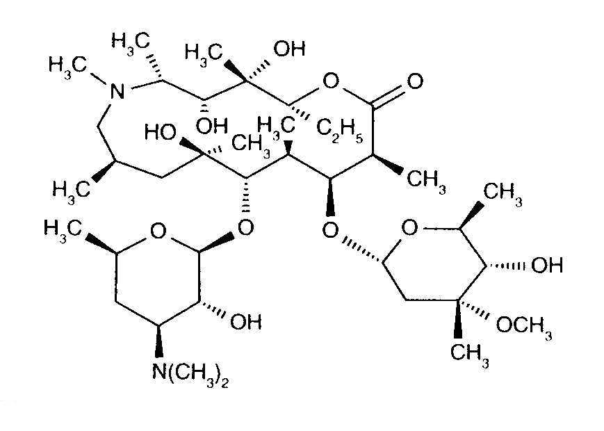
Antybiotyk   Azithromycine  
Injekcje
Maści
Trwałość roztworów Trwałość w mieszaninie Czynnik wpływający na trwałość Zgodność Sposób podania Bibliografia pdf
   Struktura chemiczna  

Nazwa handlowa   Nazwa handlowa     

Trade names are indicative and excipients composition can be different depending on the country and manufacturers

Azithromycin Kanada
Azithromycina Ekwador
Azithromycine Dr Erbeth Niemcy
Azitromax Szwecja
Sumamed Polska, Węgry
Zaret KolumbiaKolumbia
Zedbac Irlandia, Wielka Brytania
Zetamac Czechy
Zithromac Japonia
Zithromax Arabia Saudyjska, Australia, Chile, Egipt, Finlandia, Kanada, Malezja, Portugalia, Stany Zjednoczone Ameryki, Zjednoczone Emiraty Arabskie

Czynnik wpływający na trwałość   Injekcje   Czynnik wpływający na trwałość : Azithromycine        
Brak danych

  Mentions Légales