Poslední aktualizace :
18/03/2026
Antibiotikas   Azithromycine  
Įpurškimas
Tepalai
Tirpalų stabilumas Mišinių stabilumas Stabilumą lemiantys veiksniai Suderinamumas Leidimo būdai Bibliografija pdf
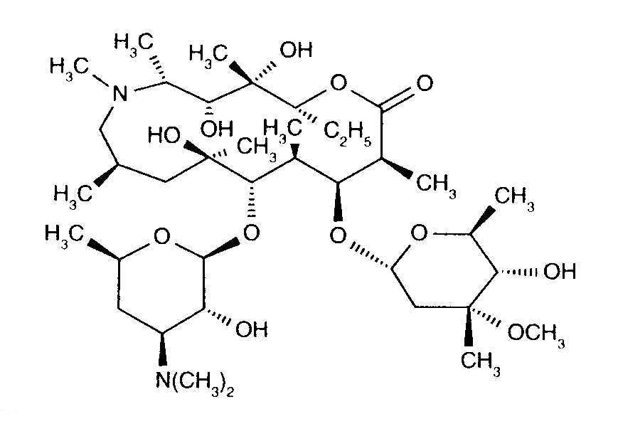
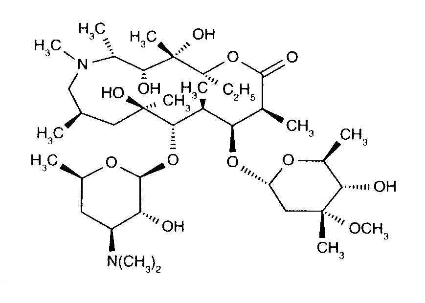
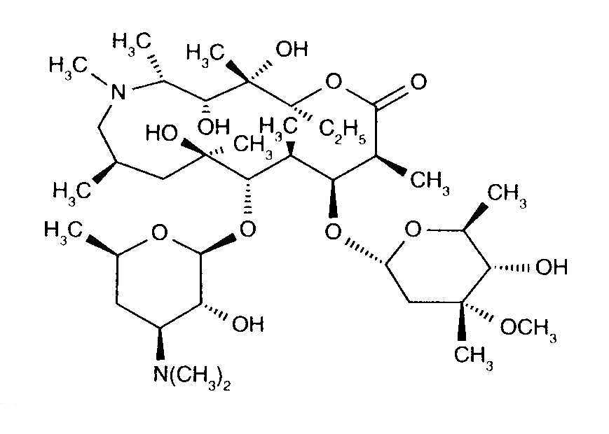
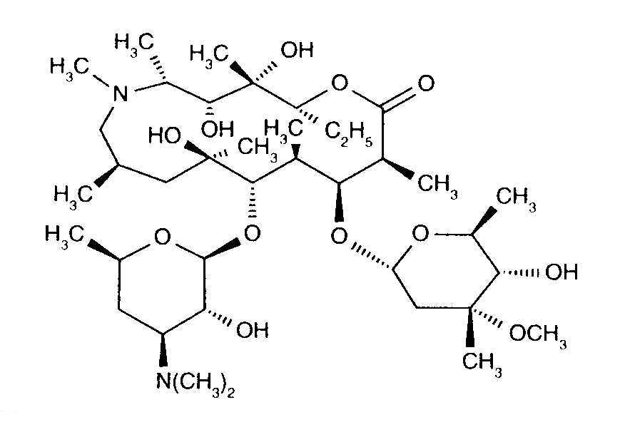
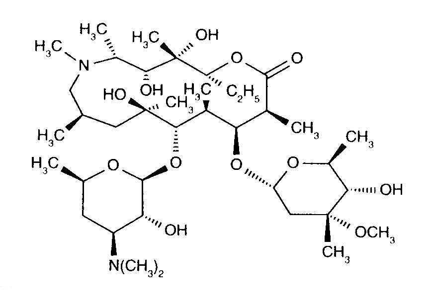
   Cheminė sandara  

Prekinis pavadinimas   Prekinis pavadinimas     

Trade names are indicative and excipients composition can be different depending on the country and manufacturers

Azithromycin Kanada
Azithromycina Ekvadoras
Azithromycine Dr Erbeth Vokietija
Azitromax Švedija
Sumamed Lenkija, Vengrija
Zaret Kolumbija
Zedbac Airija, Didžioji Britanija
Zetamac Čekija
Zithromac Japonija
Zithromax Australija, Čilė, Egiptas, Jungtinės Amerikos Valstijos, Jungtiniai Arabų Emyratai, Kanada, Malaizija, Portugalija, Saudo Arabija, Suomija

Stabilumą lemiantys veiksniai   Įpurškimas   Stabilumą lemiantys veiksniai : Azithromycine        
Nėra duomenų

  Mentions Légales