آخر تحديث :
18/03/2026
مضاد حيوي   Azithromycine  
حقن
المراهم
الاستقرار في حلول استقرار مخاليط العوامل التي تؤثر على الاستقرار التوافق طريقة التعاطي مراجع pdf
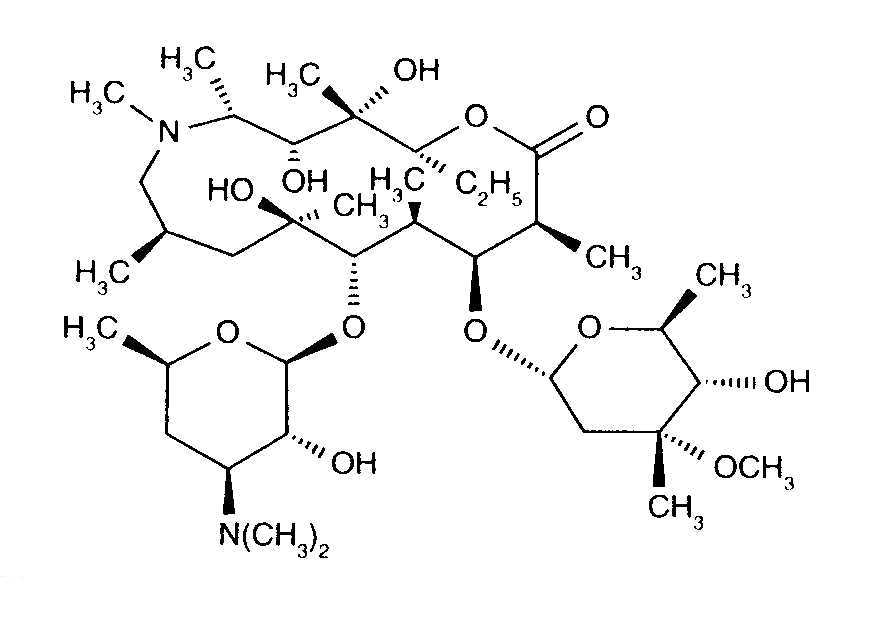
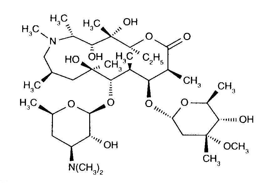
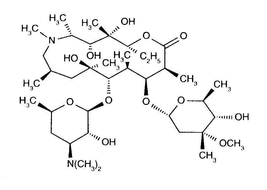
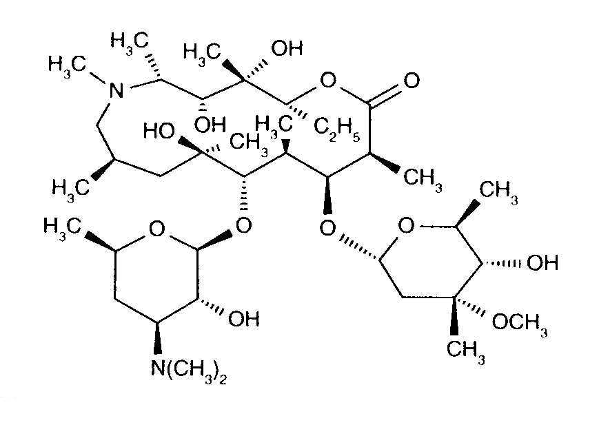
   التركيب الكيميائي  

حجز الاسم التجاري   حجز الاسم التجاري     

تحذير الأسماء التجاريه المختلفه قد تحتوي علي محتوي إضافات مختلفة حسب الدوله و المعمل

Azithromycin كندا
Azithromycina الإكوادور
Azithromycine Dr Erbeth ألمانيا
Azitromax السويد
Sumamed بولندا, هنغاريا
Zaret كولومبيا
Zedbac ايرلندا, بريطانيا العظمي
Zetamac جمهورية التشيك
Zithromac اليابان
Zithromax أستراليا, الإمارات العربية المتحدة, البرتغال, العربية السعودية, الولايات المتحدة, تشيلي, فنلندا, كندا, ماليزيا, مصر

العوامل التي تؤثر على الاستقرار   حقن   العوامل التي تؤثر على الاستقرار : Azithromycine        
لا توجد بيانات

  Mentions Légales