Ultimele actualizari :
17/12/2025
mediu de contrast   Gadoterate meglumine  
Injectabil
Stabilitatea in solutie Stabilitatea in amestec Factorii care influenteaza stabilitatea Compatibilitate Microunde Bibliografie pdf
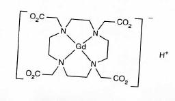
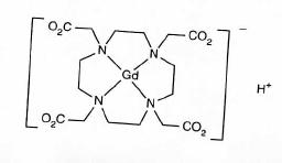
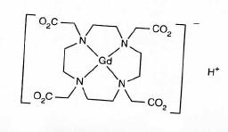
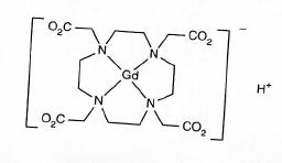
   Formula chimica  

Denumirea comerciala   Denumirea comerciala     

Trade names are indicative and excipients composition can be different depending on the country and manufacturers

Artirem Germania, Olanda
Ciclolux Germania, Spania
Clariscan Austria, Belgia, Chilli, Elvetia, Finlanda, Germania, Irlanda, Luxemburg, Norvegia, Peru, Spania, Suedia, Ungaria
Cyclolux Germania, Spania, Ungaria
Dotagita Germania, Romania
Dotagraf Elvetia, Germania, Irlanda, Spania
Dotarem Arabia Saudita, Argentina, Australia, Austria, Belgia, Chilli, Columbia, Danemarca, Egipt, Elvetia, Finlanda, Franta, Germania, Grecia, Iran, Irlanda, Italia, Luxemburg, Malaezia, Norvegia, Peru, Portugalia, Romania, Spania, Suedia, Tunisia, Turcia, Ungaria, Venezuela
Stabilitatea in solutie   Injectabil   Stabilitatea in solutie : Gadoterate meglumine     
Continut Solvent Concentratie Temperatura Conservare Durata stabilității Bibiografie
seringă polipropileno fara 0,5 mmol/ml 25°C Ferit de lumina
90 Ziua
1679
Nivel de evidență A

seringă polipropileno fara 0,5 mmol/ml 4°C Ferit de lumina
90 Ziua
1679
Nivel de evidență A


  Mentions Légales