Dernière mise à jour :
18/03/2026
Produit de contraste   Gadoterate meglumine  
injectable
Stabilité des solutions Stabilité en mélange Facteur influençant la stabilité Compatibilités Voie d’administration Bibliographie pdf
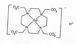
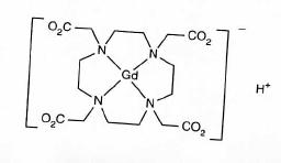
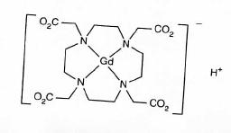
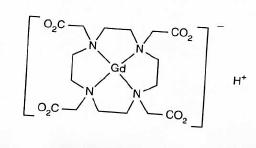
   Structure chimique  

Noms commerciaux   Noms commerciaux     

Les noms commerciaux sont donnés à titre indicatif et la composition en excipients peut être différente selon les pays et selon les laboratoires

Artirem Allemagne, Pays bas
Ciclolux Allemagne, Espagne
Clariscan Allemagne, Autriche, Belgique, Chili, Espagne, Finlande, Hongrie, Irlande, Luxembourg, Norvège, Pérou, Suède, Suisse
Cyclolux Allemagne, Espagne, Hongrie
Dotagita Allemagne, Roumanie
Dotagraf Allemagne, Espagne, Irlande, Suisse
Dotarem Allemagne, Arabie Saoudite, Argentine, Australie, Autriche, Belgique, Chili, Colombie, Danemark, Egypte, Espagne, Finlande, France, Grèce, Hongrie, Iran, Irlande, Italie, Luxembourg, Malaisie, Norvège, Pérou, Portugal, Roumanie, Suède, Suisse, Tunisie, Turquie, Vénézuela
Stabilité des solutions   injectable   Stabilité des solutions : Gadoterate meglumine     
Contenant Solvant Concentration Température Conservation Durée de stabilité Bibliographie
Seringue polypropylène Aucun 0,5 mmol/ml 25°C A l’abri de la lumière
90 Jour
1679
Niveau de preuve A

Seringue polypropylène Aucun 0,5 mmol/ml 4°C A l’abri de la lumière
90 Jour
1679
Niveau de preuve A


  Mentions Légales