最新更新 :
18/03/2026
放射線造影剤   Gadoterate meglumine  
注射薬
溶媒内の安定性 混合時の安定性 安定性に影響する因子 互換性 投与経路 引用文献 PDF
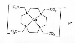
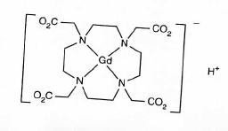
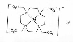
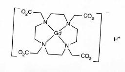
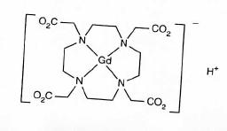
   化学構造  

商品名   商品名     

商品名、賦形剤は国、製薬会社ごとに異なることがあります

Artirem オランダ, ドイツ
Ciclolux スペイン, ドイツ
Clariscan アイルランド, オーストリア, スイス, スウェーデン, スペイン, チリ, ドイツ, ノルウェー, ハンガリー, フィンランド, ベルギー, ペルー, ルクセンブルグ
Cyclolux スペイン, ドイツ, ハンガリー
Dotagita ドイツ, ルーマニア
Dotagraf アイルランド, スイス, スペイン, ドイツ
Dotarem アイルランド, アルゼンチン, アーストラリア, イタリア, イラン, エジプト, オーストリア, ギリシア, コロンビア, サウジアラビア, スイス, スウェーデン, スペイン, チュニジア, チリ, デンマーク, トルコ, ドイツ, ノルウェー, ハンガリー, フィンランド, フランス, ベネズエラ, ベルギー, ペルー, ポルトガル, マレーシア, ルクセンブルグ, ルーマニア
溶媒内の安定性   注射薬   溶媒内の安定性 : Gadoterate meglumine     
容器 溶媒 濃度 温度 保管 安定期間 引用文献
シリンジ ポリプロピレン なし 0,5 mmol/ml 25°C 遮光
90 日
1679
エビデンスレベル A

シリンジ ポリプロピレン なし 0,5 mmol/ml 4°C 遮光
90 日
1679
エビデンスレベル A


  Mentions Légales