Pēdējā atjaunošana :
18/03/2026
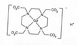
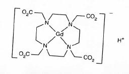
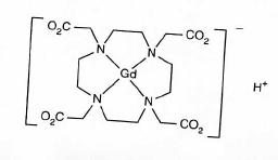
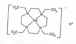
kontrastviela   Gadoterate meglumine  
Injekcija
Šķīduma stabilitāte Maisījuma stabilitāte Stabilitāti ietekmējoši faktori Saderība Levadīšanas veids Literatūras saraksts pdf
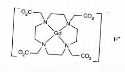
   Ķīmiskā uzbūve   

Oriģinālais nosaukums   Oriģinālais nosaukums     

Tirdzniecības nosaukumi ir apzīmējoši un palīgvielas var atšķirties dažādām valstīm un laboratorijām

Artirem Holande, Vācija
Ciclolux Spānija, Vācija
Clariscan Austrija, Beļģija, Čīle, Īrija, Luksemburga, Norvēģija, Peru, Somija, Spānija, Šveice, Ungārija, Vācija, Zviedrija
Cyclolux Spānija, Ungārija, Vācija
Dotagita Rumānija, Vācija
Dotagraf Īrija, Spānija, Šveice, Vācija
Dotarem Argentīna, Austrālija, Austrija, Beļģija, Čīle, Dānija, Ēģipte, Francija, Grieķija, Irāna, Īrija, Itālija, Kolumbija, Luksemburga, Malaizija, Norvēģija, Peru, Portugāle, Rumānija, Saūda Arābija, Somija, Spānija, Šveice, Tunisija, Turcija, Ungārija, Vācija, Venecuēla, Zviedrija
Šķīduma stabilitāte   Injekcija   Šķīduma stabilitāte : Gadoterate meglumine     
Iepakojums Šķīdinātājs Koncentrācija Temperatūra Glabāšana Stabilitātes ilgums Literatūras saraksts
Šļirce polipropilēna Nekāds 0,5 mmol/ml 25°C Aizsargāt no gaismas
90 Diena
1679
Pierādījumu līmenis A

Šļirce polipropilēna Nekāds 0,5 mmol/ml 4°C Aizsargāt no gaismas
90 Diena
1679
Pierādījumu līmenis A


  Mentions Légales