Última actualização :
18/03/2026
meio de contraste   Gadoterate meglumine  
injetável
Estabilidade em soluções simples Estabilidade em misturas Factores que afectam a sua estabilidade Compatibilidade Método de administração Bibliografía pdf
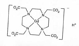
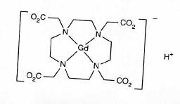
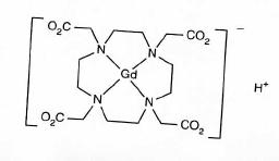
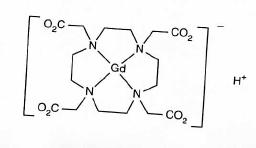
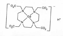
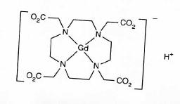
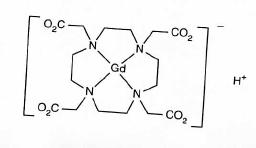
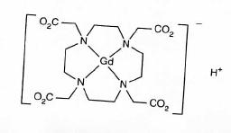
   estrutura química  

Nomes comerciais nos diversos países   Nomes comerciais nos diversos países     

OS NOMES COMERCIAIS SÃO INDICATIVOS E OS EXCIPIENTES DA FORMULAÇÃO PODEM SER DIFERENTES CONFORME O PAÍS E FABRICANTE.

Artirem Alemanha, Países Baixos
Ciclolux Alemanha, Espanha
Clariscan Alemanha, Austria, Bélgica, Chilli, Espanha, Finlandia, Hungria, Irlanda, Luxemburgo, Noruega, Peru, Suècia, Suicia
Cyclolux Alemanha, Espanha, Hungria
Dotagita Alemanha, Romènia
Dotagraf Alemanha, Espanha, Irlanda, Suicia
Dotarem Alemanha, Arábia Saudita, Argentina, Australia, Austria, Bélgica, Chilli, Colômbia, Dinamarca, Egipto, Espanha, Finlandia, França, Grècia, Hungria, Irã, Irlanda, Itália, Luxemburgo, Malásia, Noruega, Peru, Portugal, Romènia, Suècia, Suicia, Tunísia, Turquia, Venezuela
Método de administração   Método de administração :Gadoterate meglumine     
Voie
intravenoso

  Mentions Légales