Zadnji put ažurirano :
18/03/2026
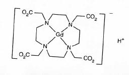
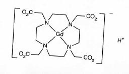
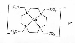
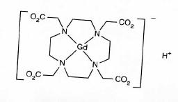
Radiocontrast agenta   Gadoterate meglumine  
injekcija
Stabilizacija rješenja Stabilnost mješavine Stabilizacijski faktor Kompatibilnosti način davanja lijeka Bibliografija pdf
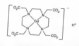
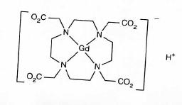
   Kemijska struktura  

Nekomercijalni   Nekomercijalni     

Zaštićeni nazivi su indikativni i sastav ekscipijensa može biti različit ovisno o državi i laboratorijima

Artirem Nizozemska, Njemačka
Ciclolux Njemačka, Španjolska
Clariscan Austrija, Belgija, Čile, Finska, Irska, Luksemburg, Madžarska, Njemačka, Norveška, Peru, Španjolska, Švedska, Švicarska
Cyclolux Madžarska, Njemačka, Španjolska
Dotagita Njemačka, Rumunjska
Dotagraf Irska, Njemačka, Španjolska, Švicarska
Dotarem Argentina, Australija, Austrija, Belgija, Čile, Danska, Egipat, Finska, Francuska, Grčka, Iran, Irska, Italija, Kolumbija, Luksemburg, Madžarska, Malezija, Njemačka, Norveška, Peru, Portugal, Rumunjska, Saudijska Arabija, Španjolska, Švedska, Švicarska, Tunis, Turska, Venecuela
način davanja lijeka   način davanja lijeka :Gadoterate meglumine     
Voie
intravenozno

  Mentions Légales