viimane versioon :
18/03/2026
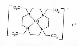
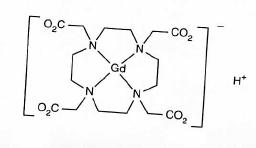
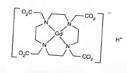
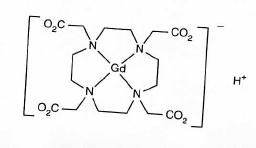
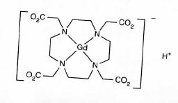
kontrastaine   Gadoterate meglumine  
Süsteravim
Stabiilsus lahustes Stabiilsust mõjutavad tegurid stabiilsust mõjutavad faktorid Sobimatus Manustamis viis Viited pdf
   keemiline struktuur  

Kaubanduslikud nimed erinevates maades   Kaubanduslikud nimed erinevates maades     

Preparaatide nimed on näitlikud ja abianete sisaldus võib erineda sõltuvalt riigist ja laborist

Artirem Holland, Saksamaa
Ciclolux Hispaania, Saksamaa
Clariscan Austria, Belgia, Hispaania, Iirimaa, Luksemburg, Maroko, Norra, Rootsi, Saksamaa, Soome, Sveits, Tšiili, Ungari
Cyclolux Hispaania, Saksamaa, Ungari
Dotagita Rumeenia, Saksamaa
Dotagraf Hispaania, Iirimaa, Saksamaa, Sveits
Dotarem Argentiina, Austraalia, Austria, Belgia, Egiptus, Hispaania, Iirimaa, Iraan, Itaalia, Kolumbia, Kreeka, Luksemburg, Malaisia, Maroko, Norra, Portugal, Prantsusmaa, Rootsi, Rumeenia, Saksamaa, Saudi Araabia, Soome, Sveits, Taani, Tšiili, Tuneesia, Türgi, Ungari, Venetsueela
Manustamis viis   Manustamis viis :Gadoterate meglumine     
Voie
intravenoosne

  Mentions Légales