Poslední aktualizace :
18/03/2026
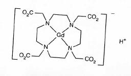
kontrastní látka   Gadoterate meglumine  
injekce
Stabilita roztoků Stabilita směsí Faktory ovlivňující stabilitu Kompatibilita Způsoby aplikace Odkazy pdf
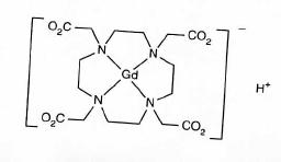
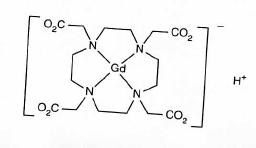
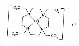
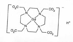
   Chemický vzorec  

Obchodní název   Obchodní název     

Trade names are indicative and excipients composition can be different depending on the country and manufacturers

Artirem NÏmecko, Nizozemsko
Ciclolux äpanÏlsko, NÏmecko
Clariscan äpanÏlsko, Belgie, Chile, Finsko, Irsko, Lucembursko, MaÔarsko, NÏmecko, Norsko, Peru, Rakousko, Švédsko, Švýcarsko
Cyclolux äpanÏlsko, MaÔarsko, NÏmecko
Dotagita NÏmecko, Rumunsko
Dotagraf äpanÏlsko, Irsko, NÏmecko, Švýcarsko
Dotarem äpanÏlsko, Argentina, Austrálie, Belgie, Chile, Dánsko, Egypt, Finsko, Francie, Írán, Irsko, Itálie, Kolumbie, Lucembursko, Malajsie, MaÔarsko, NÏmecko, Norsko, Peru, Portugalsko, Rakousko, Rumunsko, Saúdská Arábie, Švédsko, Švýcarsko, Tunisko, Turecko, Venezuela, ÿecko
Způsoby aplikace   Způsoby aplikace :Gadoterate meglumine     
Voie
intravenÛznÏ

  Mentions Légales