Utolsó frissítés :
17/12/2025
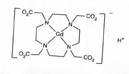
kontrasztanyag   Gadoterate meglumine  
Injekció
Az oldatok stabilitása A keverékek stabilitása Stabilitást befolyásoló tényezők Kompatibilitás Az alkalmazás módja Irodalom pdf
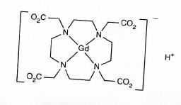
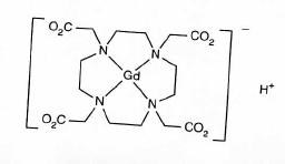
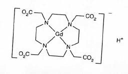
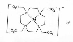
   Kémiai szerkezet   

Kereskedelmi név   Kereskedelmi név     

A kereskedelmi név meghatározó jelentőségű: a készítmények összetétele országonként, előállítóként eltérő lehet

Artirem Hollandia, Németország
Ciclolux Németország, Spanyolország
Clariscan Ausztria, Belgium, Chile, Finnország, Írország, Luxemburg, Magyarország, Németország, Norvégia, Peru, Spanyolország, Svájc, Svédország
Cyclolux Magyarország, Németország, Spanyolország
Dotagita Németország, Románia
Dotagraf Írország, Németország, Spanyolország, Svájc
Dotarem Argentína, Ausztrália, Ausztria, Belgium, Chile, Colombia, Dánia, Egyiptom, Finnország, Franciaország, Görögország, Irán, Írország, Luxemburg, Magyarország, Malaysia, Németország, Norvégia, Olaszország, Peru, Portugália, Románia, Spanyolország, Svájc, Svédország, Szaúd-Arábiában, Törökország, Tunézia, Venezuela
Az oldatok stabilitása   Injekció   Az oldatok stabilitása : Gadoterate meglumine     
Csomagolás Oldószer Koncentráció Hőmérséklet Tárolás A stabilitás időtartama Irodalom
fecskendő polipropilén Egy sem 0,5 mmol/ml 25°C Fénytől védve tartandó
90 Nap
1679
Szintű bizonyítékot A

fecskendő polipropilén Egy sem 0,5 mmol/ml 4°C Fénytől védve tartandó
90 Nap
1679
Szintű bizonyítékot A


  Mentions Légales