آخر تحديث :
27/11/2025
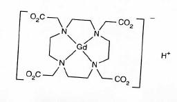
مواد الاشعه التشخيصيه    Gadoterate meglumine  
حقن
الاستقرار في حلول استقرار مخاليط العوامل التي تؤثر على الاستقرار التوافق طريقة التعاطي مراجع pdf
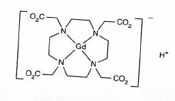
   التركيب الكيميائي  

حجز الاسم التجاري   حجز الاسم التجاري     

تحذير الأسماء التجاريه المختلفه قد تحتوي علي محتوي إضافات مختلفة حسب الدوله و المعمل

Artirem ألمانيا, هولندا
Ciclolux ألمانيا, إسبانيا
Clariscan ألمانيا, إسبانيا, السويد, النرويج, النمسا, ايرلندا, بلجيكا, بيرو, تشيلي, سويسرا, فنلندا, لوكسمبورغ, هنغاريا
Cyclolux ألمانيا, إسبانيا, هنغاريا
Dotagita ألمانيا, رومانيا
Dotagraf ألمانيا, إسبانيا, ايرلندا, سويسرا
Dotarem أستراليا, ألمانيا, إسبانيا, إيران, إيطاليا, الأرجنتين, البرتغال, الدنمارك, السويد, العربية السعودية, النرويج, النمسا, ايرلندا, بلجيكا, بيرو, تركيا, تشيلي, تونس, رومانيا, سويسرا, فرنسا, فنزويلا, فنلندا, كولومبيا, لوكسمبورغ, ماليزيا, مصر, هنغاريا, يونان
الاستقرار في حلول   حقن   الاستقرار في حلول : Gadoterate meglumine     
حاوية مذيب تركيز درجة الحرارة تخزين مدة الاستقرار مراجع
محقنة البولي بروبلين لا شيء 0,5 mmol/ml 25°C بعيدا عن الضوء
90 يوم
1679
A مستوى الأدلة

محقنة البولي بروبلين لا شيء 0,5 mmol/ml 4°C بعيدا عن الضوء
90 يوم
1679
A مستوى الأدلة


  Mentions Légales