viimane versioon :
18/03/2026
kontrastaine   Gadoterate meglumine  
Süsteravim
Stabiilsus lahustes Stabiilsust mõjutavad tegurid stabiilsust mõjutavad faktorid Sobimatus Manustamis viis Viited pdf
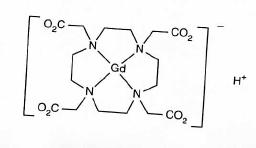
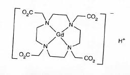
   keemiline struktuur  

Kaubanduslikud nimed erinevates maades   Kaubanduslikud nimed erinevates maades     

Preparaatide nimed on näitlikud ja abianete sisaldus võib erineda sõltuvalt riigist ja laborist

Artirem Holland, Saksamaa
Ciclolux Hispaania, Saksamaa
Clariscan Austria, Belgia, Hispaania, Iirimaa, Luksemburg, Maroko, Norra, Rootsi, Saksamaa, Soome, Sveits, Tšiili, Ungari
Cyclolux Hispaania, Saksamaa, Ungari
Dotagita Rumeenia, Saksamaa
Dotagraf Hispaania, Iirimaa, Saksamaa, Sveits
Dotarem Argentiina, Austraalia, Austria, Belgia, Egiptus, Hispaania, Iirimaa, Iraan, Itaalia, Kolumbia, Kreeka, Luksemburg, Malaisia, Maroko, Norra, Portugal, Prantsusmaa, Rootsi, Rumeenia, Saksamaa, Saudi Araabia, Soome, Sveits, Taani, Tšiili, Tuneesia, Türgi, Ungari, Venetsueela
Stabiilsus lahustes   Süsteravim   Stabiilsus lahustes : Gadoterate meglumine     
konteiner lahusti kontsentratsioon temperatuur ladustamine Stabiilsuse kestus Viited
süstal  polüpropüleenist mitte ükski 0,5 mmol/ml 25°C kaitsta valguse eest
90 päev
1679
Tõenduspõhisuse tase A

süstal  polüpropüleenist mitte ükski 0,5 mmol/ml 4°C kaitsta valguse eest
90 päev
1679
Tõenduspõhisuse tase A


  Mentions Légales