Última actualização :
18/03/2026
meio de contraste   Gadoterate meglumine  
injetável
Estabilidade em soluções simples Estabilidade em misturas Factores que afectam a sua estabilidade Compatibilidade Método de administração Bibliografía pdf
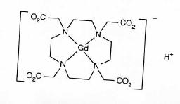
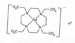
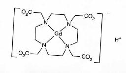
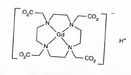
   estrutura química  

Nomes comerciais nos diversos países   Nomes comerciais nos diversos países     

OS NOMES COMERCIAIS SÃO INDICATIVOS E OS EXCIPIENTES DA FORMULAÇÃO PODEM SER DIFERENTES CONFORME O PAÍS E FABRICANTE.

Artirem Alemanha, Países Baixos
Ciclolux Alemanha, Espanha
Clariscan Alemanha, Austria, Bélgica, Chilli, Espanha, Finlandia, Hungria, Irlanda, Luxemburgo, Noruega, Peru, Suècia, Suicia
Cyclolux Alemanha, Espanha, Hungria
Dotagita Alemanha, Romènia
Dotagraf Alemanha, Espanha, Irlanda, Suicia
Dotarem Alemanha, Arábia Saudita, Argentina, Australia, Austria, Bélgica, Chilli, Colômbia, Dinamarca, Egipto, Espanha, Finlandia, França, Grècia, Hungria, Irã, Irlanda, Itália, Luxemburgo, Malásia, Noruega, Peru, Portugal, Romènia, Suècia, Suicia, Tunísia, Turquia, Venezuela
Estabilidade em soluções simples   injetável   Estabilidade em soluções simples : Gadoterate meglumine     
Embalagem Solvente concentração temperatura conservação Duração da estabilidade Bibliografia
seringa polipropylen nenhum 0,5 mmol/ml 25°C ao abrigo da luz
90 dia
1679
Nível de evidência A

seringa polipropylen nenhum 0,5 mmol/ml 4°C ao abrigo da luz
90 dia
1679
Nível de evidência A


  Mentions Légales