Pēdējā atjaunošana :
18/03/2026
Pretsēnīšu līdzeklis   Amphotericin B liposomale  
Injekcija
Acu pilieni
Šķīduma stabilitāte Maisījuma stabilitāte Stabilitāti ietekmējoši faktori Saderība Levadīšanas veids Literatūras saraksts pdf
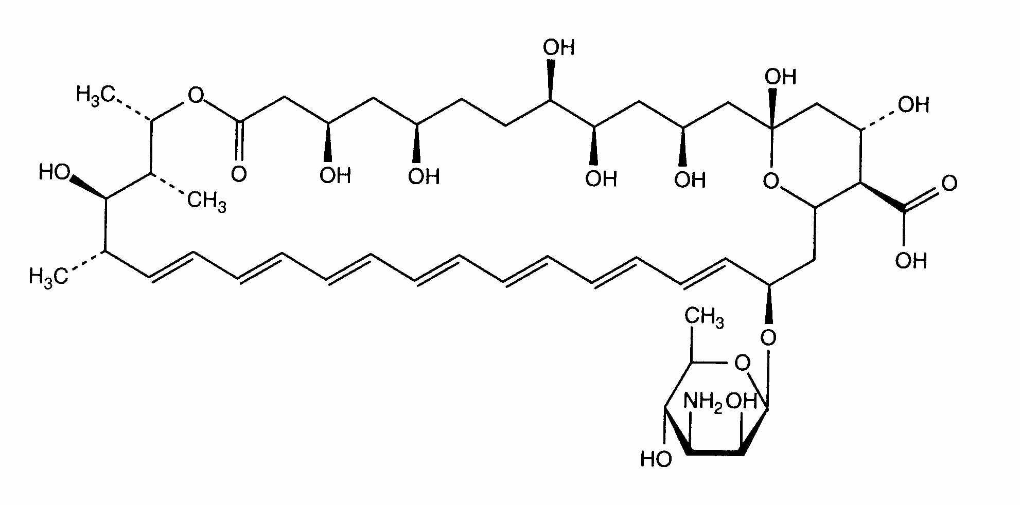
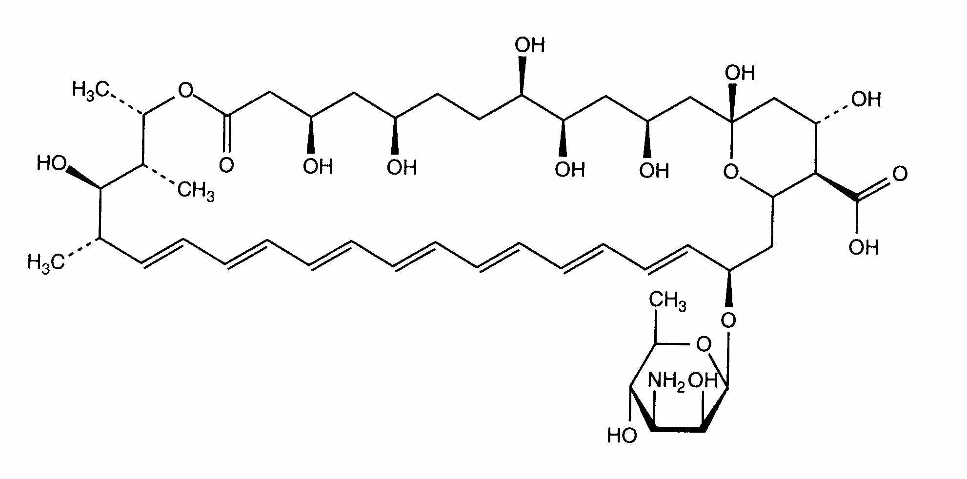
Liposoma   Ķīmiskā uzbūve   

Oriģinālais nosaukums   Oriģinālais nosaukums     

Tirdzniecības nosaukumi ir apzīmējoši un palīgvielas var atšķirties dažādām valstīm un laboratorijām

Ambisome Amerikas Savienotās Valstis, Apvienotie Arābu Emirāti, Argentīna, Austrija, Beļģija, Brazīlija, Čīle, Dānija, Ēģipte, Francija, Grieķija, Holande, Indija, Īrija, Islande, Itālija, Japāna, Jaunzēlande, Kanāda, Lielbritānija, Luksemburga, Norvēģija, Peru, Polija, Portugāle, Saūda Arābija, Somija, Spānija, Šveice, Taizeme, Turcija, Ungārija, Vācija, Zviedrija
Literatūras saraksts   Injekcija   Literatūras saraksts : Amphotericin B liposomale  
tips publicēšana
1982 Žurnāls Trissel LA, Ogundele AB.
Compatibility of anidulafungin with other drugs during simulated Y-site administration.
Am J Health-Syst Pharm 2005 ; 62: 834-837.
2247 Žurnāls Chan P, Heatherly K, Kupiec T.C, Trissel L.A.
Compatibility of caspofungin acetate injection with other drugs during simulated Y-site coadministration.
Int J Pharm Compound 2008 ; 12, 3: 276-278.
2262 Žurnāls Brammer MK, Chan P, Heatherly K, Trusley C, Kupiec TC, Trissel LA, Psathas PA, Gilmor T, Schaufelberger D.
Compatibility of doripenem with other drugs during simulated Y-site administratioN
Am J Health-Syst Pharm 2008 ; 65: 1261-1265.
3012 Žurnāls Sullivan T, Forrest J.M, Leclair G.
Compatibility of Cloxacillin Sodium with Selected Intravenous Drugs During Simulated Y-Site Administration
Hosp Pharm 2015 ; 50, 3: 214-220.
3254 Žurnāls Housman S.T, Tessier P.R, Nicolau D.P, Kuti J.L.
Physical compatibility of telavancin hydrochloride with select i.v. drugs during simulated Y-site administration
Am J Health-Syst Pharm 2011 ; 68: 2265-2270.
3398 Laboratorija Amphotéricine B (Ambisome®) - Résumé des caractéristiques du produit
Gilead Science (France) 2013
3644 Laboratorija Calcium gluconate® - Summary of Product Characteristics
Hameln Pharmaceuticals 2010
3728 Žurnāls Correard F, Savry A, Gauthier-Villano L, Pisano P, Pourroy B.
Visual compatibility of defibrotide with selected drugs during simulated Y-site administration.
Am J Health-Syst Pharm 2014 ; 71: 1288-1291.
3824 Žurnāls Boudi S, Roy H, Forest JM, Leclair G.
Compatibilité physique de l'association amoxicilline-acide clavulanique en injection avec plusieurs autres médicaments lors d'une administration en Y.
Pharmactuel 2023 2023;56,3:91-98
3828 plakāts Thabit A.K, Hamada Y, Nicolau D.P.
Ceftozolane/tazobactam physical compatibility during simulated Y-site administration.
ASHP Midyear 2015
3829 plakāts So W, Kim L, Thabit A.K, Nicolau D.P, Kuti J.L.
Compatibility of isavunazonium sulfate during simulated Y-site administration.
ASHP Midyear 2015
3964 Žurnāls Audet M.A, Forest E, Friciu M, Forest J.M, Leclair G.
Compatibilité du citrate de caféine injectable avec plusieurs autres médicaments.
Pharmactuel 2017 ; 50,1 : 27-33.
3976 Žurnāls Du Repaire T, Vigne P, Guedon A, Gauthier-Villano L, Bertault Peres P, Pourroy B.
Visual compatibility of blinatumomab with selected co-administrated drugs during simulated Y-site administration.
Am J Health-Syst Pharm 2017 ; 74,16 : 1217-1218
4055 Žurnāls Monogue M, Almarzoky Abuhussain S, Kuti J, Nicolau D.
Physical compatibility of fosfomycin for injection with select i.v. drugs during simulated Y-site administration.
Am J Health-Syst Pharm 2018 , 75, 1:36-44
4254 Žurnāls D'Huart E, Vigneron J, Demoré B.
Physical Compatibility of Intravenous Drugs Commonly Used in Intensive Care Units: An Observational Study and Physical Compatibility Laboratory Tests on Anti-Infective Drugs
Pharmaceutical Technology in Hospital Pharmacy 2019 ;4,1:29-40
4319 Žurnāls Lessard J-J, Caron E, Schérer H, Forest J-M, Leclair G.
Compatibility of Y-site Injection of Meropenem Trihydrate With 101 Other Injectable Drugs.
Hosp Pharm 2020 ; 55, 5: 332-337.
4543 Žurnāls Senarathna G, Strunk T, Petrovski M, Batty K.
Physical compatibility of pentoxifylline and intravenous medications.
Archives of Disease in Childhood 2018 ;104:292–295.
4603 Žurnāls Vallée M, Barthélémy I, Friciu M, Pelletier E, Forest J.M, Benoit F, Leclair G.
Compatibility of Lactated Ringer’s Injection With 94 Selected Intravenous Drugs During Simulated Y-site Administration.
Hosp Pharm 2021 ; 56, 4: 228-234.
4742 Žurnāls Macoviciuc M, Nguyen C, Forest J-M, Leclair G.
Compatibilité physique de l’acétaminophène injectable avec 102 autres médicaments lors d’une administration en Y.
Pharmactuel 2022 ; 55, 4: 247-255.
4821 Žurnāls Zuccari G, Villa C, Iurilli V, Barabino P, Zorzoli A, Marimpietri D, Caviglia D, Russo
AmBisome® Formulations for Pediatrics: Stability, Cytotoxicity, and Cost-Effectiveness Studies.
Pharmaceutics 2024 ; 16: 466.
4837 Žurnāls De Silva, D.T.N Petrovski M, Strunk T, Mukadam N, Page‑Sharp N, Moore B.R, Batty K.T.
Physicochemical compatibility of caffeine citrate and caffeine base injections with parenteral medications used in neonatal intensive care settings.
Eur J Clin Pharmacol 2024 ; 80:1079–1087.
4845 Žurnāls De Silva D.T.N, Strunk T, Petrovski M, Page-Sharp M, Moore B.R, Batty K.T.
The Physicochemical Compatibility of Sildenafil Injection with Parenteral Medications Used in Neonatal Intensive Care Settings.
Pharmaceutics 2024 ;1 6, 419.
4964 Laboratorija GLUCONATE DE CALCIUM 10 % B.BRAUN, solution pour perfusion - Résumé des caractéristiques du produit.
B BRAUN MELSUNGEN AG 2019

  Mentions Légales