Senaste uppdateringen :
18/03/2026
Antibiotikum   Amikacin sulfate  
injektion
Lösningars stabilitet Stabilitet i blandningar Faktorer som påverkar stabiliteten Kompatibilitet Administreringssätt Hänvisningar pdf
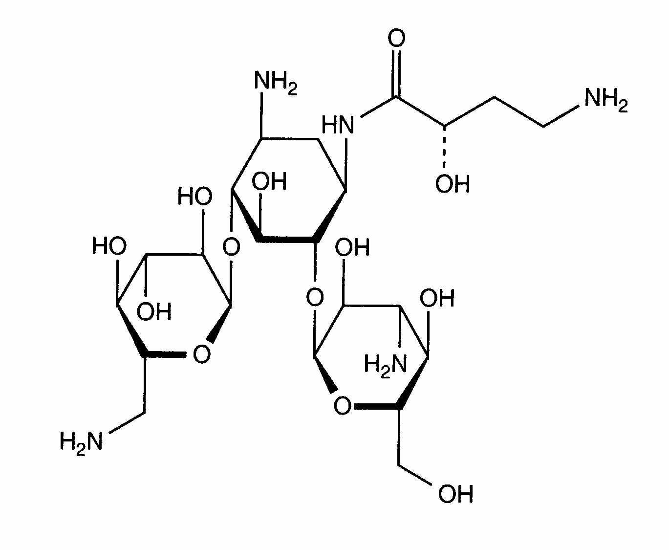
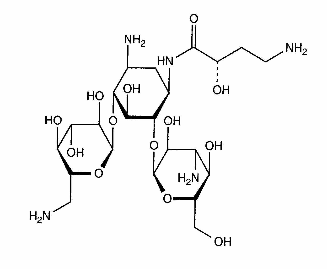
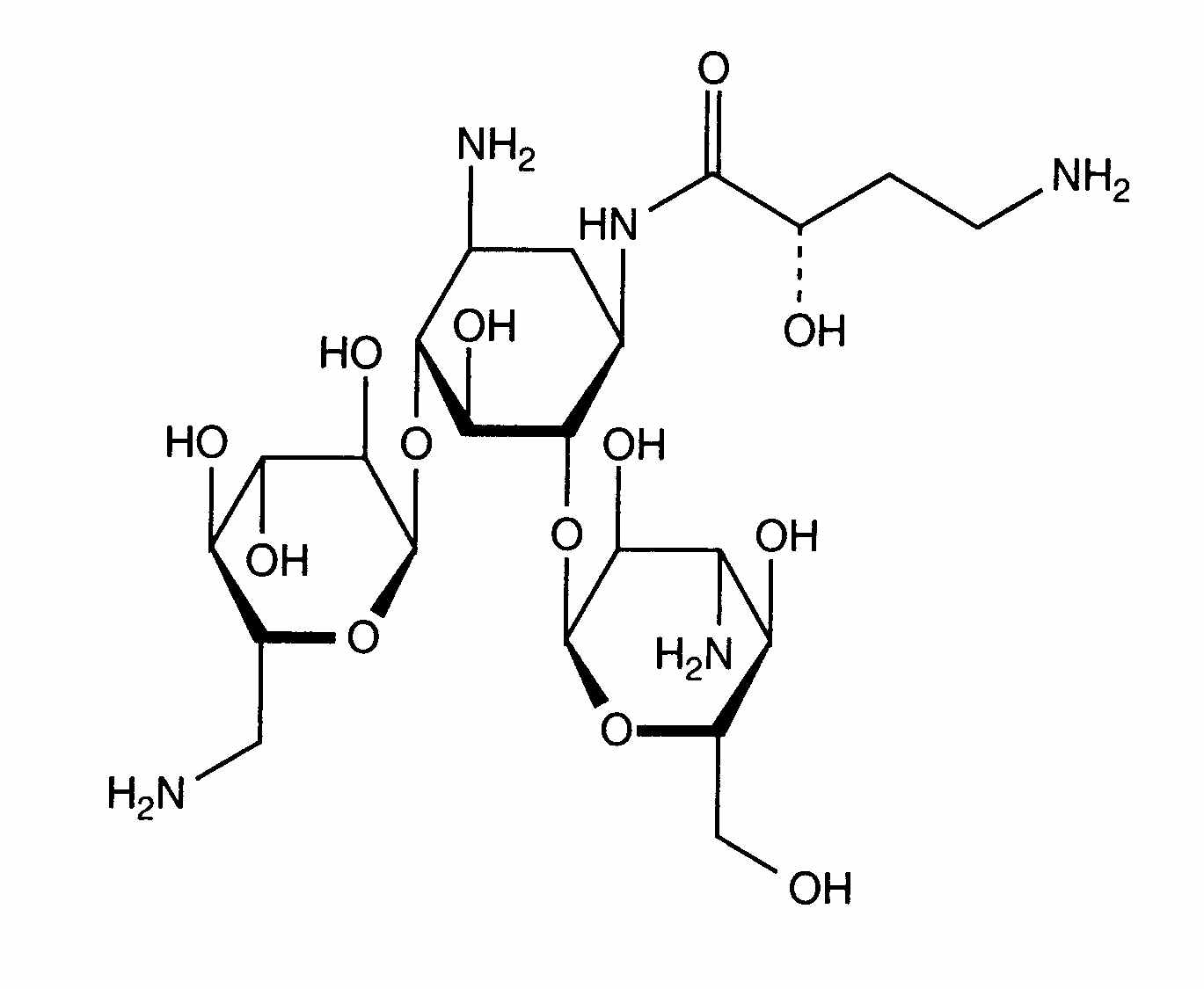
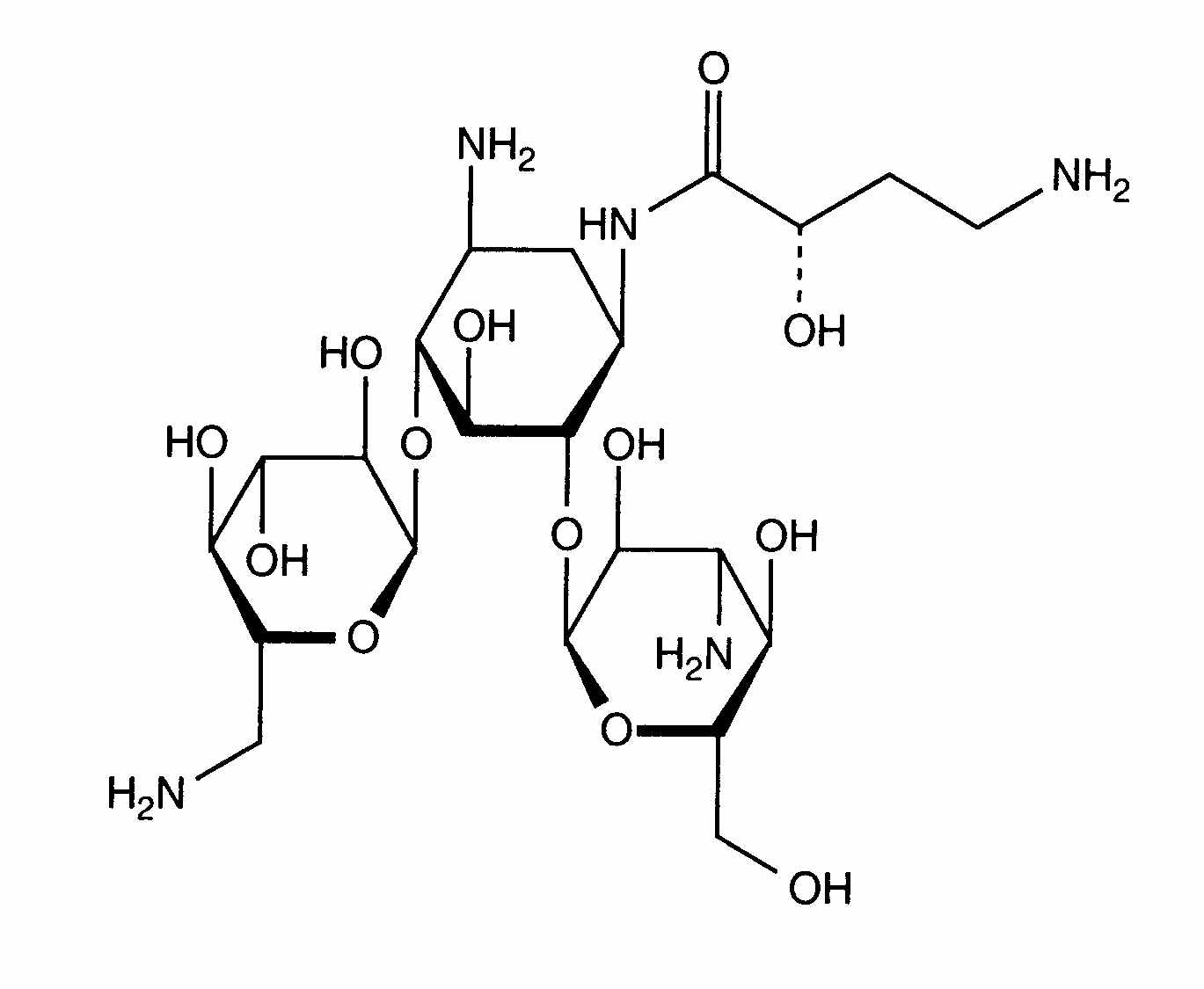
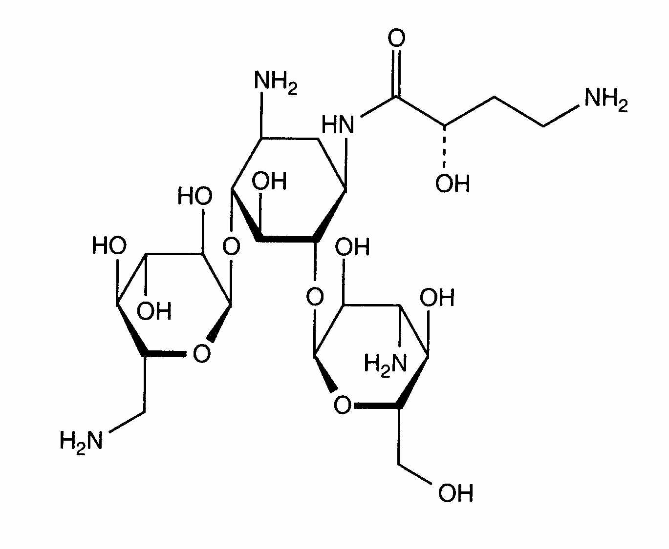
   Molekylstruktur  

Varunamn   Varunamn     

Angivna handelsnamn på läkemedel är enbart vägledande då formulering inklusive hjälpämnen kan variera mellan länder och tillverkare

Adnet Indien
Agnicin Mexiko
Akamin Ecuador
Akim Ecuador
Amicacil Brasilien
Amicilon Brasilien
Amicin Malaysia
Amicip Venezuela
Amijeksin Turkiet
Amikabiot Ecuador, Peru
Amikacin Egypten, Förenta Staterna, Iran, Kanada, Malaysia, nya Zeeland, Saudi-Arabien, Storbritannien, Tyskland
Amikacina Argentina, Chile, Colombia, Ecuador, Italien, Mexiko, Peru, Spanien, Venezuela
Amikacine Belgien, Frankrike, Marocko, Nederländerna
Amikafur Mexiko
Amikagram Peru
Amikalem Mexiko
Amikamed Peru
Amikamek Peru
Amikan Italien
Amikavax Venezuela
Amikaver Turkiet
Amikayect Mexiko
Amikem Peru
Amiketem Turkiet
Amikin Australien, Brasilien, Colombia, Ecuador, Egypten, Förenta Staterna, Irland, Mexiko, Peru, Polen, Saudi-Arabien, Schweiz, Storbritannien, Tunisien, Ungern
Amiklin Frankrike, Turkiet
Amikosit Rumänien, Tunisien, Turkiet
Amikram Peru
Amukin Belgien, Luxemburg, Nederländerna
Apalin Malaysia
Baxi K Chile, Mexiko
Behcacin Indien, Venezuela
Belka Indien
Biclin Finland, Mexiko, Österrike, Portugal, Spanien, Sverige, Tyskland
Biodacyna Polen
Biokacin Mexiko
Briklin Grekland
Cadicin Indien
Chemacin Italien
Cikabit Indien
Cinamica Indien
Cinas Indien
Consumonit Grekland
Domak Indien
Doxocar Argentina
Elcin Indien
Elmik Indien
Emcin Indien
Emica Indien
Farcyclin Grekland
Flexelite Grekland
Greini Argentina
Ipacin Iran
Itukacin Peru
Kancin Grekland
Lanomycin Grekland
Lukadin Italien
Masmika Indien
Mediamik Italien
Micalpha Grekland
Micigen Mexiko
Migracin Italien
Mikacin Saudi-Arabien
Nekacin Italien
Novamin Brasilien
Orlobin Grekland
Remikin Grekland
Rovericlin Grekland
Uzix Grekland
Administreringssätt   Administreringssätt :Amikacin sulfate     
Voie
Intravenös
Intravenös infusion
Intramuskulär
Subkutan
Intratekal
Subkutan infusion

  Mentions Légales