最新更新 :
18/03/2026
抗菌薬   Amikacin sulfate  
注射薬
溶媒内の安定性 混合時の安定性 安定性に影響する因子 互換性 投与経路 引用文献 PDF
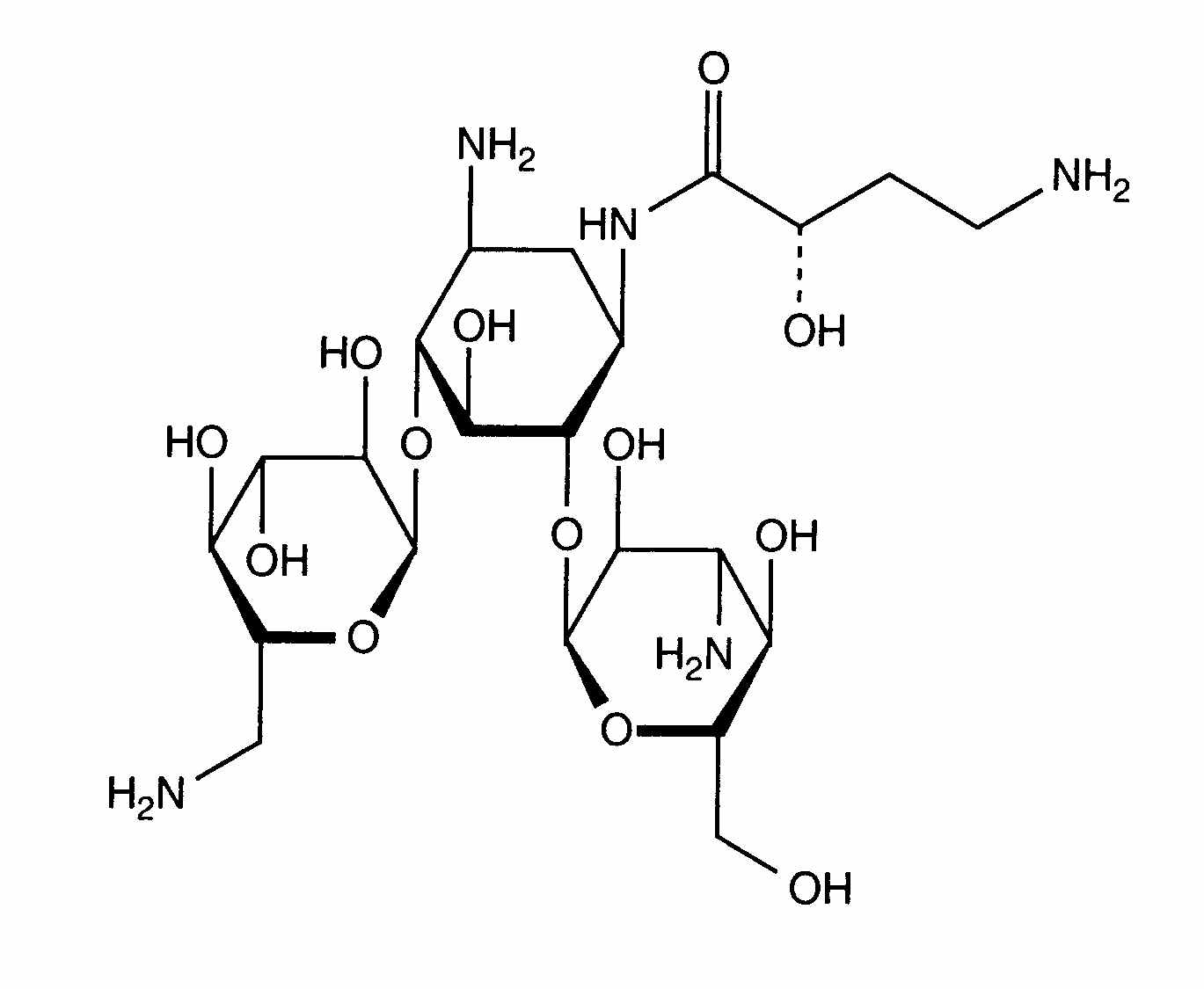
   化学構造  

商品名   商品名     

商品名、賦形剤は国、製薬会社ごとに異なることがあります

Adnet インド
Agnicin メキシコ
Akamin エクアドル
Akim エクアドル
Amicacil ブラジル
Amicilon ブラジル
Amicin マレーシア
Amicip ベネズエラ
Amijeksin トルコ
Amikabiot エクアドル, ペルー
Amikacin アメリカ, イギリス, イラン, エジプト, カナダ, サウジアラビア, ドイツ, ニュージーランド, マレーシア
Amikacina アルゼンチン, イタリア, エクアドル, コロンビア, スペイン, チリ, ベネズエラ, ペルー, メキシコ
Amikacine オランダ, フランス, ベルギー, モロッコ
Amikafur メキシコ
Amikagram ペルー
Amikalem メキシコ
Amikamed ペルー
Amikamek ペルー
Amikan イタリア
Amikavax ベネズエラ
Amikaver トルコ
Amikayect メキシコ
Amikem ペルー
Amiketem トルコ
Amikin アイルランド, アメリカ, アーストラリア, イギリス, エクアドル, エジプト, コロンビア, サウジアラビア, スイス, チュニジア, ハンガリー, ブラジル, ペルー, ポーランド, メキシコ
Amiklin トルコ, フランス
Amikosit チュニジア, トルコ, ルーマニア
Amikram ペルー
Amukin オランダ, ベルギー, ルクセンブルグ
Apalin マレーシア
Baxi K チリ, メキシコ
Behcacin インド, ベネズエラ
Belka インド
Biclin オーストリア, スウェーデン, スペイン, ドイツ, フィンランド, ポルトガル, メキシコ
Biodacyna ポーランド
Biokacin メキシコ
Briklin ギリシア
Cadicin インド
Chemacin イタリア
Cikabit インド
Cinamica インド
Cinas インド
Consumonit ギリシア
Domak インド
Doxocar アルゼンチン
Elcin インド
Elmik インド
Emcin インド
Emica インド
Farcyclin ギリシア
Flexelite ギリシア
Greini アルゼンチン
Ipacin イラン
Itukacin ペルー
Kancin ギリシア
Lanomycin ギリシア
Lukadin イタリア
Masmika インド
Mediamik イタリア
Micalpha ギリシア
Micigen メキシコ
Migracin イタリア
Mikacin サウジアラビア
Nekacin イタリア
Novamin ブラジル
Orlobin ギリシア
Remikin ギリシア
Rovericlin ギリシア
Uzix ギリシア
投与経路   投与経路 :Amikacin sulfate     
経路
静脈内
点滴静注
筋肉注射
皮下
くも膜下
皮下注射

  Mentions Légales