Última actualización :
18/03/2026
Antibiótico   Amikacin sulfate  
Inyectables
Estabilidad en solucion Estabilidad en mezcla Factores que influyen sobre la estabilidad Compatibilidades método de inyección Bibliografía pdf
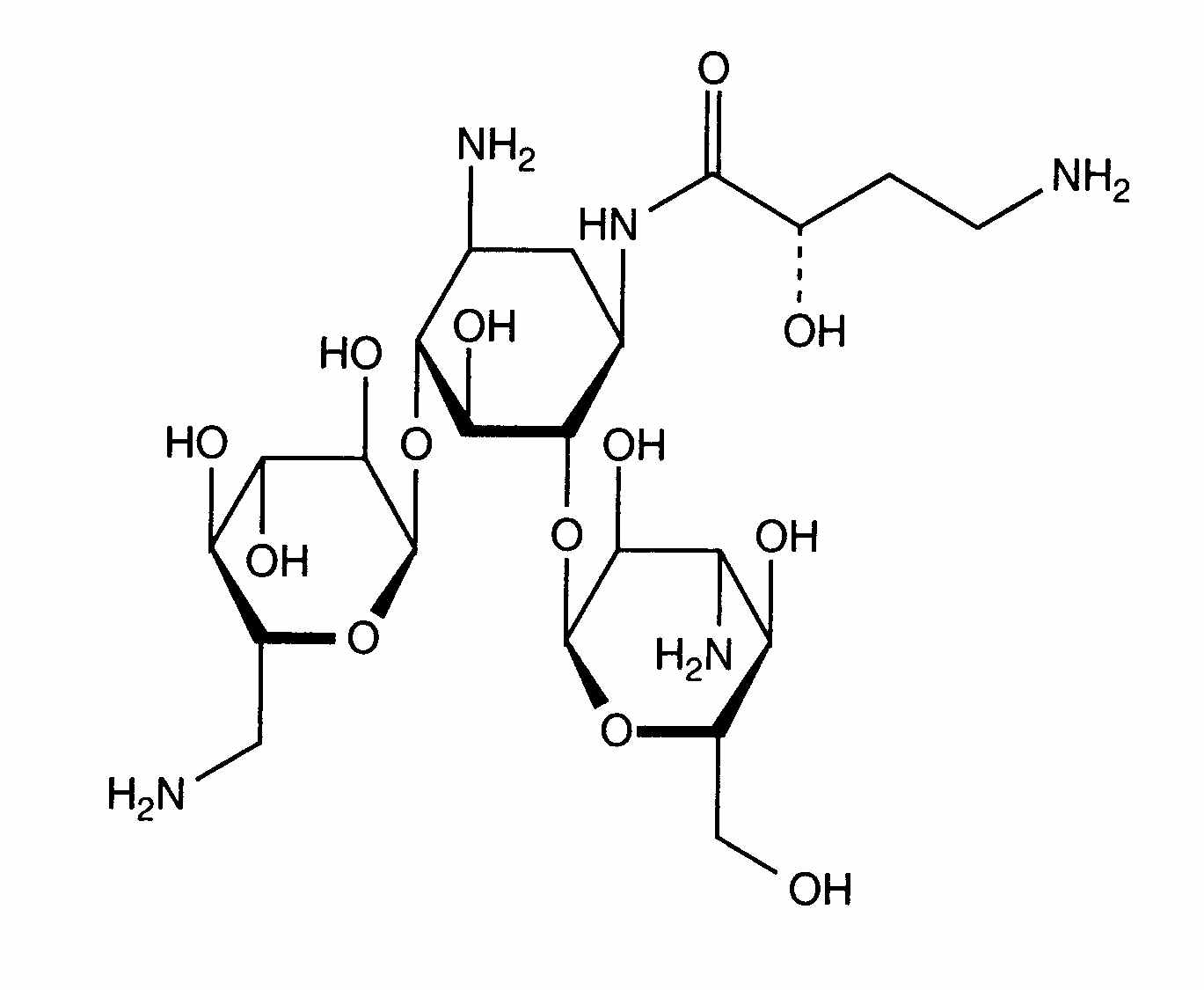
   Estructura química  

Nombre comercial   Nombre comercial     

Los nombres comerciales son orientativos y los excipientes de la formulación pueden ser distintos dependiendo del país y del laboratorio fabricante.

Adnet India
Agnicin México
Akamin Ecuador
Akim Ecuador
Amicacil Brasil
Amicilon Brasil
Amicin Malasia
Amicip Venezuela
Amijeksin Turquía
Amikabiot Ecuador, Marruecos
Amikacin Alemania, Arabia Saudita, Canadá, Egipto, Estados Unidos de América, Gran Bretaña, Irán, Malasia, Nueva Zelanda
Amikacina Argentina, Chile, Colombia, Ecuador, España, Italia, Marruecos, México, Venezuela
Amikacine Bélgica, Francia, Marruecos, Países Bajos
Amikafur México
Amikagram Marruecos
Amikalem México
Amikamed Marruecos
Amikamek Marruecos
Amikan Italia
Amikavax Venezuela
Amikaver Turquía
Amikayect México
Amikem Marruecos
Amiketem Turquía
Amikin Arabia Saudita, Australia, Brasil, Colombia, Ecuador, Egipto, Estados Unidos de América, Gran Bretaña, Hungría, Irlanda, Marruecos, México, Polonia, Suiza, Túnez
Amiklin Francia, Turquía
Amikosit Rumania, Túnez, Turquía
Amikram Marruecos
Amukin Bélgica, Luxemburgo, Países Bajos
Apalin Malasia
Baxi K Chile, México
Behcacin India, Venezuela
Belka India
Biclin Alemania, Austria, España, Finlandia, México, Portugal, Suecia
Biodacyna Polonia
Biokacin México
Briklin Grecia
Cadicin India
Chemacin Italia
Cikabit India
Cinamica India
Cinas India
Consumonit Grecia
Domak India
Doxocar Argentina
Elcin India
Elmik India
Emcin India
Emica India
Farcyclin Grecia
Flexelite Grecia
Greini Argentina
Ipacin Irán
Itukacin Marruecos
Kancin Grecia
Lanomycin Grecia
Lukadin Italia
Masmika India
Mediamik Italia
Micalpha Grecia
Micigen México
Migracin Italia
Mikacin Arabia Saudita
Nekacin Italia
Novamin Brasil
Orlobin Grecia
Remikin Grecia
Rovericlin Grecia
Uzix Grecia
método de inyección   método de inyección :Amikacin sulfate     
Voie
Intravenoso
Perfusión intravenosa
Intramuscular
Subcutánea
Intratecal
Perfusión subcutánea

  Mentions Légales