Dernière mise à jour :
17/12/2025
Anticancéreux   Etoposide phosphate  
injectable
Stabilité des solutions Stabilité en mélange Facteur influençant la stabilité Compatibilités Voie d’administration Bibliographie pdf
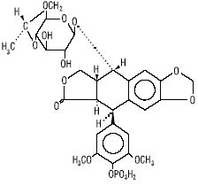
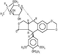
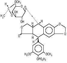
   Structure chimique  

Noms commerciaux   Noms commerciaux     

Les noms commerciaux sont donnés à titre indicatif et la composition en excipients peut être différente selon les pays et selon les laboratoires

Etopofos Autriche, Grèce, Suède
Etopophos Allemagne, Belgique, Bulgarie, Etats Unis d’Amérique, France, Grande Bretagne, Israël, Luxembourg, Nouvelle Zélande, Pays bas, Pologne, Suisse
Bibliographie   injectable   Bibliographie : Etoposide phosphate  
Type Source
1410 Revue Trissel LA, Martinez JF, Simmons M.
Compatibility of etoposide phosphate with selected drugs during simulated Y-site injection.
J Am Pharm Assoc 1999 ; 39: 141-145.
1411 Revue Zhang Y, Trissel LA.
Physical and chemical stability of etoposide phosphate solutions.
J Am Pharm Assoc 1999 ; 39: 146-150.
1423 Revue Trissel LA, Martinez JF, Gilbert DL.
Compatibility of gemcitabine hyrochloride with 107 selected drugs during simulated Y-site injection.
J Am Pharm Assoc 1999 ; 39: 514-518.
1606 Revue Yuan P, Grimes GJ, Shankman SE, Daniels CE, Goldspiel BR, Potti GK.
Compatibility and stability of vincristine sulfate, doxorubicin hydrochloride, and etoposide phosphate in 0.9% sodium chloride injection.
Am J Health-Syst Pharm 2001 ; 58: 594-598.
1625 Revue Trissel LA, Saenz C, Williams YW, Ingram D.
Incompatibilities of lansoprazole injection with other drugs during simulated Y-site coadministration.
Int J Pharm Compound 2001 ; 5: 314-321.
1662 Revue Trissel LA, Saenz CA, Ingram DS, Ogundele AB.
Compatibility screening of oxaliplatin during simulated Y-site administration with other drugs.
J Oncol Pharm Practice 2002 ; 8: 33-37.
1925 Revue Trissel LA , Williams KY, Gilbert DL.
Compatibility screening of linezolid injection during simulated Y-site administration with other drugs and infusion solutions.
J Am Pharm Assoc 2000 ; 40: 515-519.
1982 Revue Trissel LA, Ogundele AB.
Compatibility of anidulafungin with other drugs during simulated Y-site administration.
Am J Health-Syst Pharm 2005 ; 62: 834-837.
2247 Revue Chan P, Heatherly K, Kupiec T.C, Trissel L.A.
Compatibility of caspofungin acetate injection with other drugs during simulated Y-site coadministration.
Int J Pharm Compound 2008 ; 12, 3: 276-278.
2262 Revue Brammer MK, Chan P, Heatherly K, Trusley C, Kupiec TC, Trissel LA, Psathas PA, Gilmor T, Schaufelberger D.
Compatibility of doripenem with other drugs during simulated Y-site administratioN
Am J Health-Syst Pharm 2008 ; 65: 1261-1265.
3644 Laboratoire Calcium gluconate® - Summary of Product Characteristics
Hameln Pharmaceuticals 2010
3655 Laboratoire Etoposide phosphate (Etopophos®) - Résumé des caractéristiques du produit
Bristol Myers Squibb 2016
3838 Laboratoire Magnesium Sulphate - Summary of Product Characteristics
Martindale Pharmaceuticals Ltd 2007
4102 Revue Svirskis D, Behera S, Naidoo N, Beachman J, Raina T, Zhou Y, Berkahn L, Costello I, Gu Y.
Stability of vincristine sulfate, doxorubicin hydrochloride and etoposide phosphate admixtures in polyisoprene elastromeric pump supporting transition of the EPOCH regimen to oupatient care.
J Oncol Pharm Practice 2018 ;25,4:831-840.
4964 Laboratoire GLUCONATE DE CALCIUM 10 % B.BRAUN, solution pour perfusion - Résumé des caractéristiques du produit.
B BRAUN MELSUNGEN AG 2019

  Mentions Légales