Τελευταία ενημέρωση :
18/03/2026
φάρμακο κατά του καρκίνου   Etoposide phosphate  
Ενέσιμο
Σταθερότητα διαλυμάτων Σταθερότητα σε μίγματα Παράγοντας που επηρεάζει τη σταθερότητα Συμβατότητες Τρόπος χορήγησης Βιβλιογραφία pdf
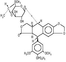
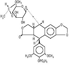
   χημική δομή  

Εμπορική ονομασία   Εμπορική ονομασία     

Οι εμπορικές ονομασίες είναι ενδεικτικές και η σύνθεση των εκδόχων μπορεί να διαφέρει ανάλογα με τη χώρα και τα εργαστήρια

Etopofos Αυστρία, Ελλάδα, Σουηδία
Etopophos Βέλγιο, Βουλγαρία, Γαλλία, Γερμανία, Ελβετία, Η.Π.Α., Ισραήλ, Λουξεμβούργο, Μεγάλη Βρετανία, νέα Ζηλανδία, Ολλανδία, Πολωνία
Βιβλιογραφία   Ενέσιμο   Βιβλιογραφία : Etoposide phosphate  
τύπος δημοσίευση
1410 εφημερίδα Trissel LA, Martinez JF, Simmons M.
Compatibility of etoposide phosphate with selected drugs during simulated Y-site injection.
J Am Pharm Assoc 1999 ; 39: 141-145.
1411 εφημερίδα Zhang Y, Trissel LA.
Physical and chemical stability of etoposide phosphate solutions.
J Am Pharm Assoc 1999 ; 39: 146-150.
1423 εφημερίδα Trissel LA, Martinez JF, Gilbert DL.
Compatibility of gemcitabine hyrochloride with 107 selected drugs during simulated Y-site injection.
J Am Pharm Assoc 1999 ; 39: 514-518.
1606 εφημερίδα Yuan P, Grimes GJ, Shankman SE, Daniels CE, Goldspiel BR, Potti GK.
Compatibility and stability of vincristine sulfate, doxorubicin hydrochloride, and etoposide phosphate in 0.9% sodium chloride injection.
Am J Health-Syst Pharm 2001 ; 58: 594-598.
1625 εφημερίδα Trissel LA, Saenz C, Williams YW, Ingram D.
Incompatibilities of lansoprazole injection with other drugs during simulated Y-site coadministration.
Int J Pharm Compound 2001 ; 5: 314-321.
1662 εφημερίδα Trissel LA, Saenz CA, Ingram DS, Ogundele AB.
Compatibility screening of oxaliplatin during simulated Y-site administration with other drugs.
J Oncol Pharm Practice 2002 ; 8: 33-37.
1925 εφημερίδα Trissel LA , Williams KY, Gilbert DL.
Compatibility screening of linezolid injection during simulated Y-site administration with other drugs and infusion solutions.
J Am Pharm Assoc 2000 ; 40: 515-519.
1982 εφημερίδα Trissel LA, Ogundele AB.
Compatibility of anidulafungin with other drugs during simulated Y-site administration.
Am J Health-Syst Pharm 2005 ; 62: 834-837.
2247 εφημερίδα Chan P, Heatherly K, Kupiec T.C, Trissel L.A.
Compatibility of caspofungin acetate injection with other drugs during simulated Y-site coadministration.
Int J Pharm Compound 2008 ; 12, 3: 276-278.
2262 εφημερίδα Brammer MK, Chan P, Heatherly K, Trusley C, Kupiec TC, Trissel LA, Psathas PA, Gilmor T, Schaufelberger D.
Compatibility of doripenem with other drugs during simulated Y-site administratioN
Am J Health-Syst Pharm 2008 ; 65: 1261-1265.
3644 Εργαστήριο Calcium gluconate® - Summary of Product Characteristics
Hameln Pharmaceuticals 2010
3655 Εργαστήριο Etoposide phosphate (Etopophos®) - Résumé des caractéristiques du produit
Bristol Myers Squibb 2016
3838 Εργαστήριο Magnesium Sulphate - Summary of Product Characteristics
Martindale Pharmaceuticals Ltd 2007
4102 εφημερίδα Svirskis D, Behera S, Naidoo N, Beachman J, Raina T, Zhou Y, Berkahn L, Costello I, Gu Y.
Stability of vincristine sulfate, doxorubicin hydrochloride and etoposide phosphate admixtures in polyisoprene elastromeric pump supporting transition of the EPOCH regimen to oupatient care.
J Oncol Pharm Practice 2018 ;25,4:831-840.
4964 Εργαστήριο GLUCONATE DE CALCIUM 10 % B.BRAUN, solution pour perfusion - Résumé des caractéristiques du produit.
B BRAUN MELSUNGEN AG 2019

  Mentions Légales