Останнє оновлення :
18/03/2026
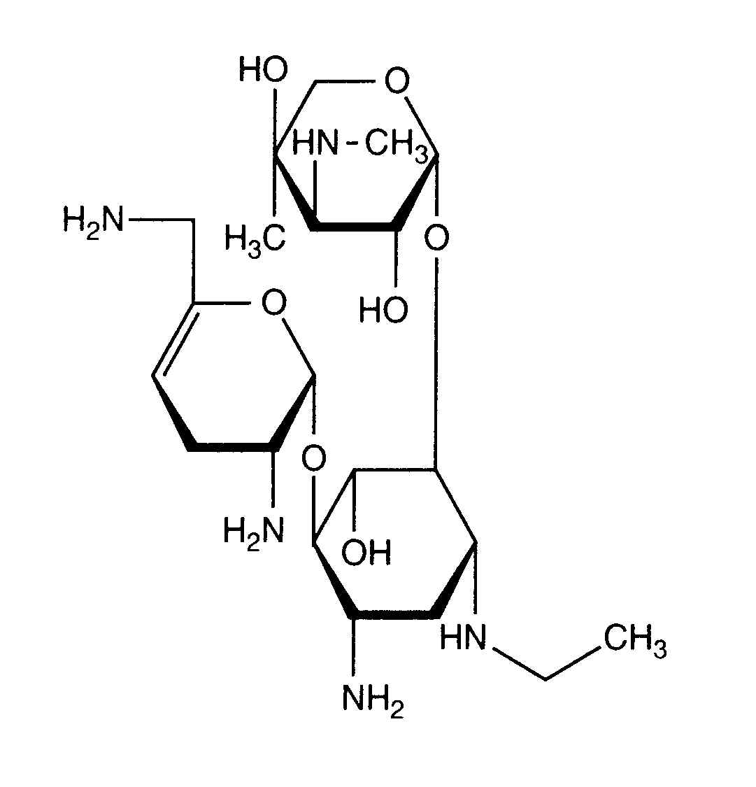
Антибіотик   Netilmicin sulfate  
ін'єкція
аерозоль
Стійкість в розчинах Стійкість сумішей Фактори, що впливають на стабільність Сумісність Шлях введення Список літератури pdf
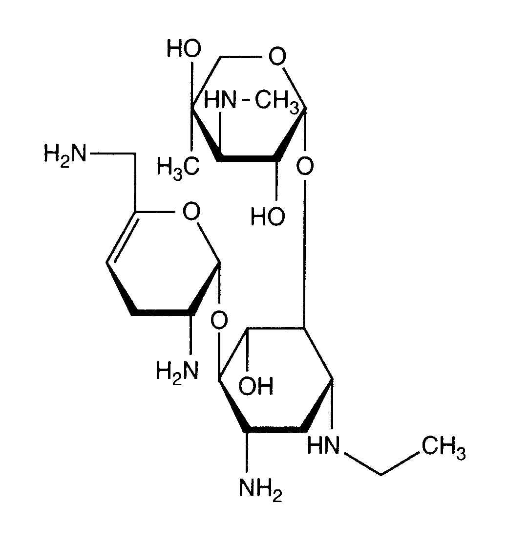
   Хімічна структура  

Торгова назва   Торгова назва     

Торгові назви є орієнтовними, а склад допоміжних речовин може бути різним залежно від країни та виробника

Bactob Індія
Beltob Індія
Bramicil Італія
Brulamycin Угорщина
Eltol Індія
Fytobra Індія
Gernebcin Німеччина
Komitub Індія
Nebcin Єгипет, Австралія, Великобританія, Греція, Нова Зеландія, Об'єднані Арабські Емірати, Саудівська Аравія
Nebcina Данія, Марокко, Норвегія, Швеція
Nebcine Марокко
Nebicina Італія
Netilyn Фінляндія, Швеція
Netromicina Португалія
Netromicine Франція
Netromycine Греція, Польща, російський, Туреччина
Nettacin Італія
Obracin Бельгія, Люксембург, Нідерланди, Швейцарія
Tobra Німеччина
Tobra Alex Єгипет
Tobra Day Нова Зеландія
Tobra Gobens Іспанія
Tobracin Єгипет
Tobradistin Іспанія
Tobramicina Іспанія, Італія, Венесуела, Португалія
Tobramina Бразилія
Tobramycin Ірландія, Австралія, Великобританія, Канада, Німеччина, Норвегія, Саудівська Аравія, Сполучені Штати Америки
Tobramycine Ірландія, Нідерланди, Франція
Tobrasix Австрія
Tobrazid Німеччина
Tomycin Фінляндія
Zetamicin Італія
Шлях введення   Шлях введення :Netilmicin sulfate     
Маршрут
Внутрішньовенне
Внутрішньовенне вливання
Внутрішньом'язове
Інтратекальний

  Mentions Légales