viimane versioon :
18/03/2026
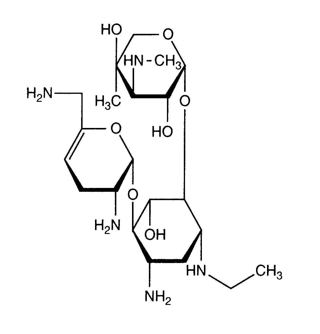
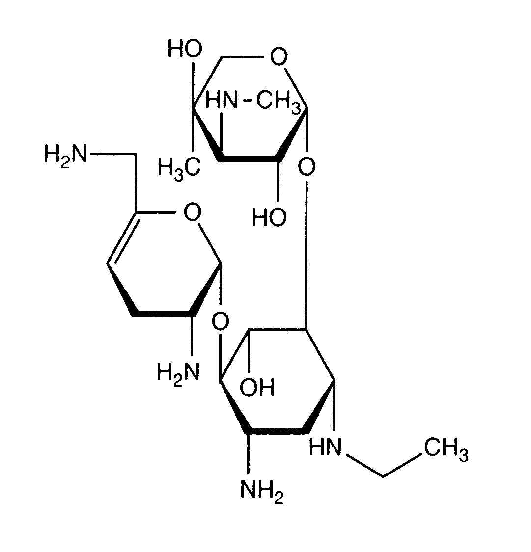
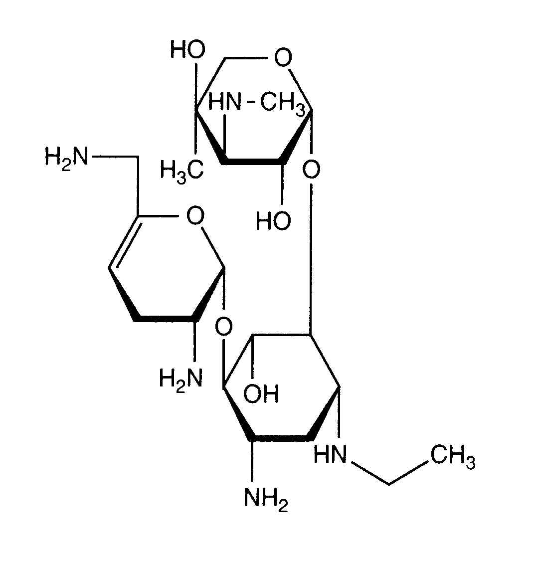
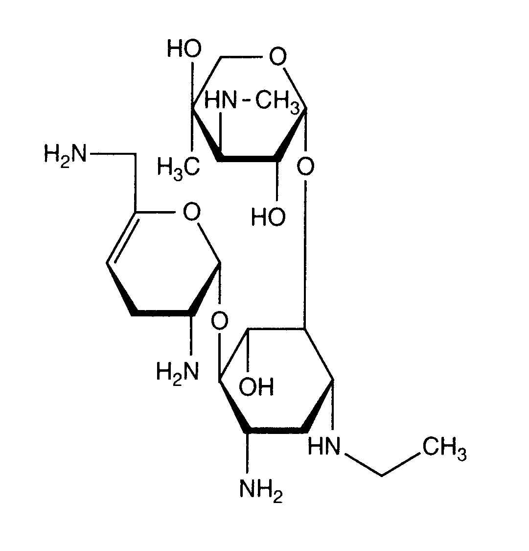
antibiootikum   Netilmicin sulfate  
Süsteravim
aerosool
Stabiilsus lahustes Stabiilsust mõjutavad tegurid stabiilsust mõjutavad faktorid Sobimatus Manustamis viis Viited pdf
   keemiline struktuur  

Kaubanduslikud nimed erinevates maades   Kaubanduslikud nimed erinevates maades     

Preparaatide nimed on näitlikud ja abianete sisaldus võib erineda sõltuvalt riigist ja laborist

Bactob India
Beltob India
Bramicil Itaalia
Brulamycin Ungari
Eltol India
Fytobra India
Gernebcin Saksamaa
Komitub India
Nebcin Araabia Ühendemiraadid, Austraalia, Egiptus, Kreeka, Saudi Araabia, Suurbritannia, uus-Meremaa
Nebcina Maroko, Norra, Rootsi, Taani
Nebcine Maroko
Nebicina Itaalia
Netilyn Rootsi, Soome
Netromicina Portugal
Netromicine Prantsusmaa
Netromycine Kreeka, Poola, Türgi, vene
Nettacin Itaalia
Obracin Belgia, Holland, Luksemburg, Sveits
Tobra Saksamaa
Tobra Alex Egiptus
Tobra Day uus-Meremaa
Tobra Gobens Hispaania
Tobracin Egiptus
Tobradistin Hispaania
Tobramicina Hispaania, Itaalia, Portugal, Venetsueela
Tobramina Brasiilia
Tobramycin Ameerika ühendriigid, Austraalia, Iirimaa, Kanada, Norra, Saksamaa, Saudi Araabia, Suurbritannia
Tobramycine Holland, Iirimaa, Prantsusmaa
Tobrasix Austria
Tobrazid Saksamaa
Tomycin Soome
Zetamicin Itaalia
Manustamis viis   Manustamis viis :Netilmicin sulfate     
Voie
intravenoosne
intravenoosne infusioon
intramuskulaarne
intratekaalne

  Mentions Légales