Последнее обновление :
18/03/2026
Антибиотик   Netilmicin sulfate  
Инъекция
Аэрозоль
Стабильность растворов Стабильность смесей Факторы, которые влияют на стабильность Совместимость Способы введения Библиография pdf
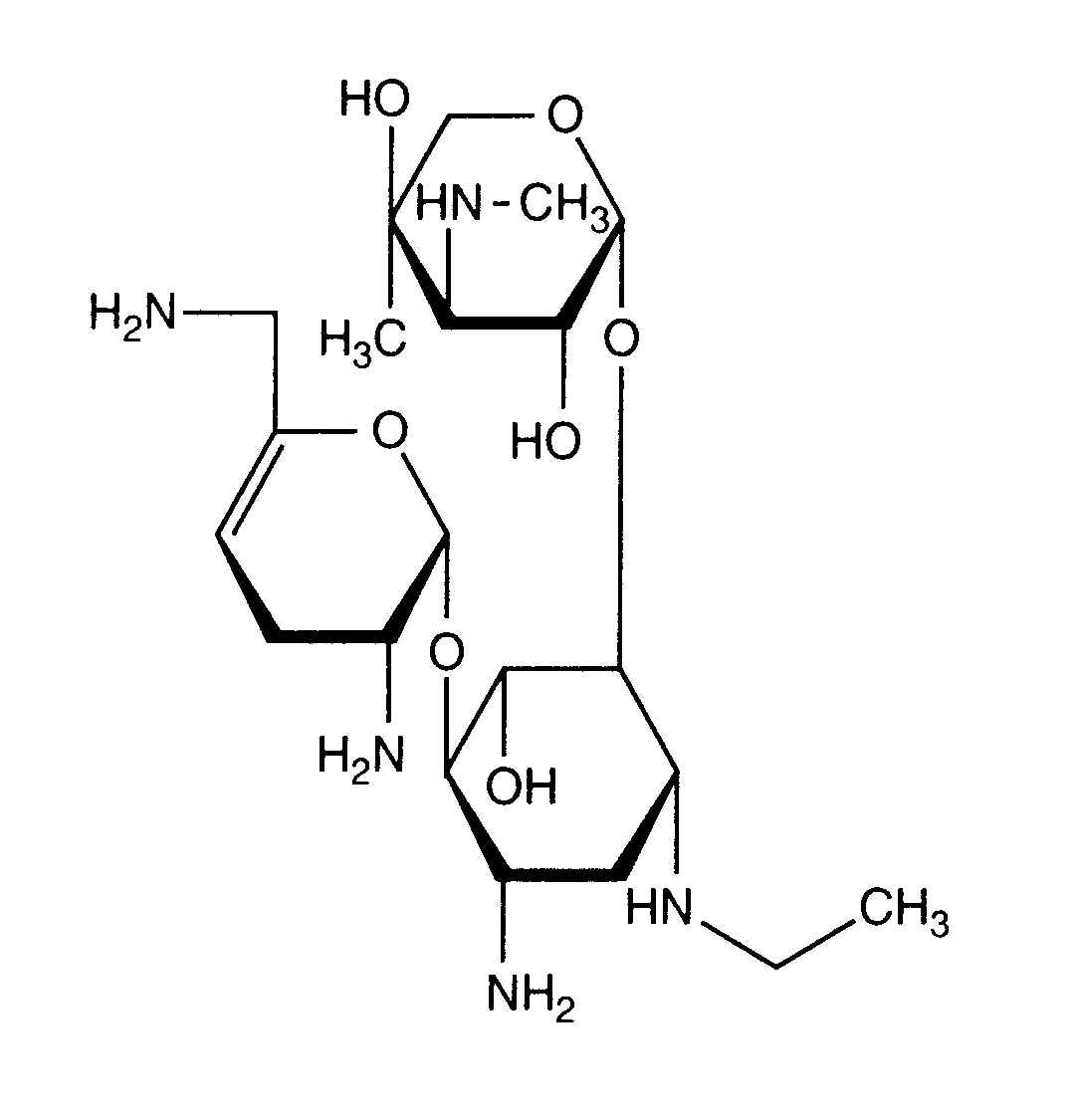
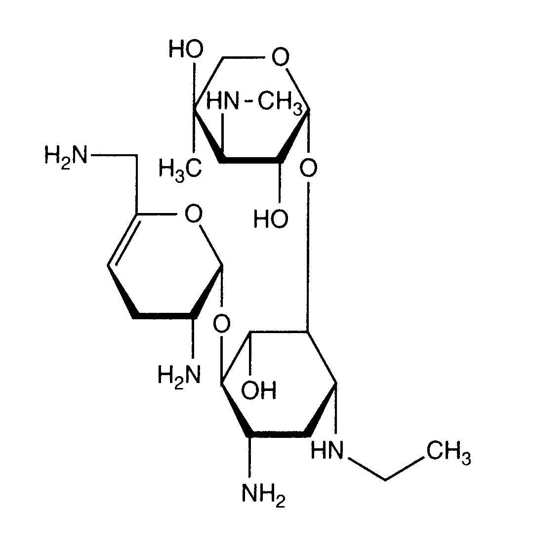
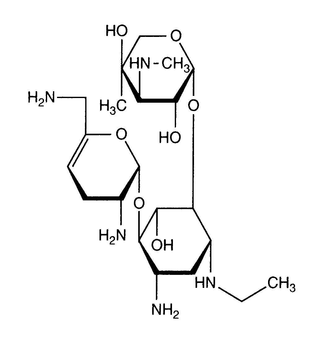
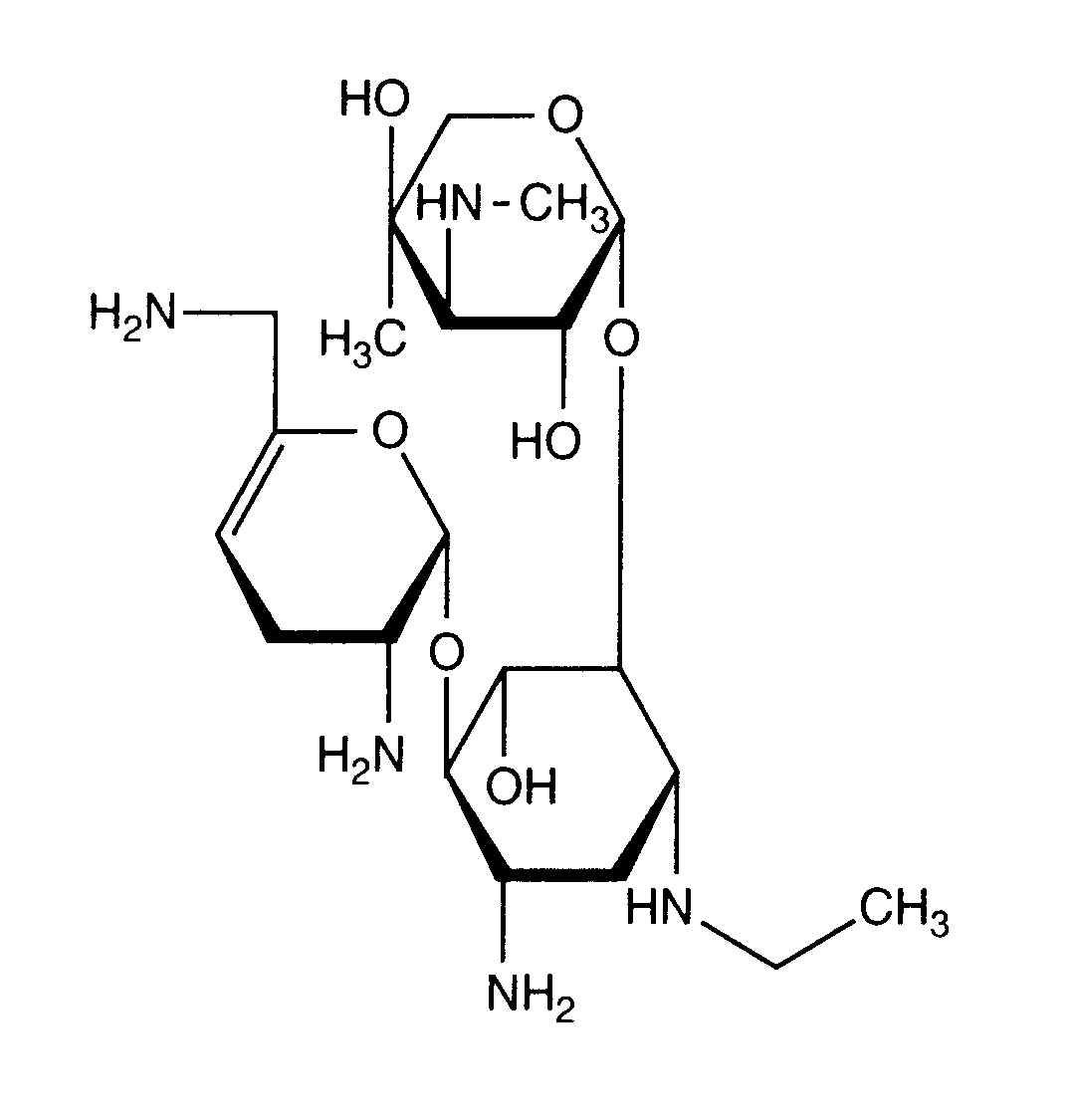
   Химическая структура  

Товарное название   Товарное название     

Trade names are indicative and excipients composition can be different depending on the country and manufacturers

Bactob Индия
Beltob Индия
Bramicil Италия
Brulamycin Венгрия
Eltol Индия
Fytobra Индия
Gernebcin Германия
Komitub Индия
Nebcin Австралия, Великобритания, Греция, Египет, новая Зеландия, Объединенные Арабские Эмираты, Саудовская Аравия
Nebcina Дания, Марокко, Норвегия, Швеция
Nebcine Марокко
Nebicina Италия
Netilyn Финляндия, Швеция
Netromicina Португалия
Netromicine Франция
Netromycine Греция, Польша, Русский, Турция
Nettacin Италия
Obracin Бельгия, Голландия, Люксембург, Швейцария
Tobra Германия
Tobra Alex Египет
Tobra Day новая Зеландия
Tobra Gobens Испания
Tobracin Египет
Tobradistin Испания
Tobramicina Венесуэла, Испания, Италия, Португалия
Tobramina Бразилия
Tobramycin Австралия, Великобритания, Германия, Ирландия, Канада, Норвегия, Саудовская Аравия, Соединённые Штаты Америки
Tobramycine Голландия, Ирландия, Франция
Tobrasix Австрия
Tobrazid Германия
Tomycin Финляндия
Zetamicin Италия
Способы введения   Способы введения :Netilmicin sulfate     
Voie
Интравенный, внутривенный
Интравенная, внутривенная инфузия
Внутримышечный
Интратекальный, подоболочный,  интратека

  Mentions Légales