Ultimo aggiornamento :
18/03/2026
Antibiotico   Netilmicin sulfate  
Iniezione
Aerosol
Stabilità in soluzione Stabilità in miscela Fattori che influenzano la stabilità Compatibilità metodo di iniezione Bibliografia pdf
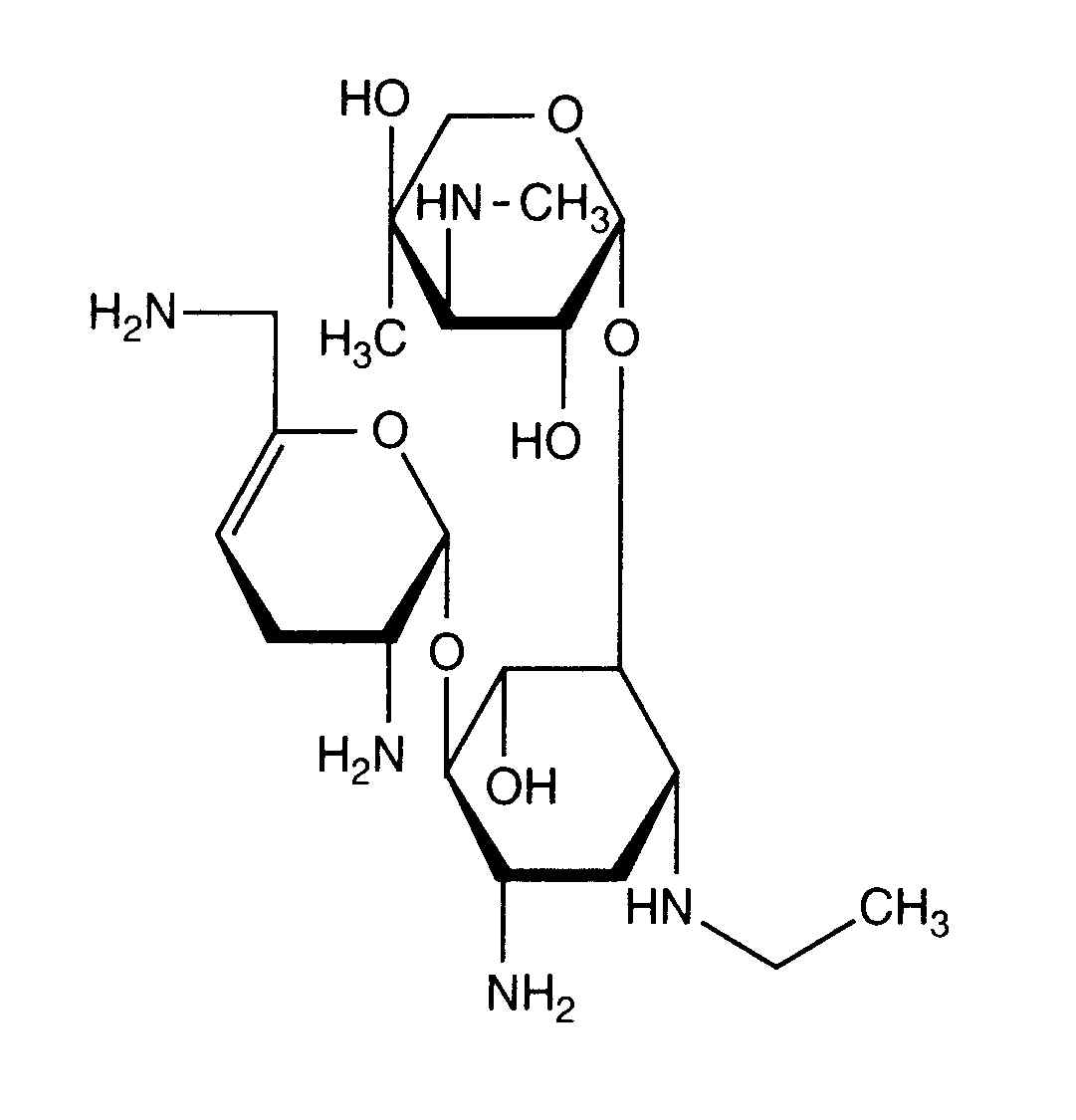
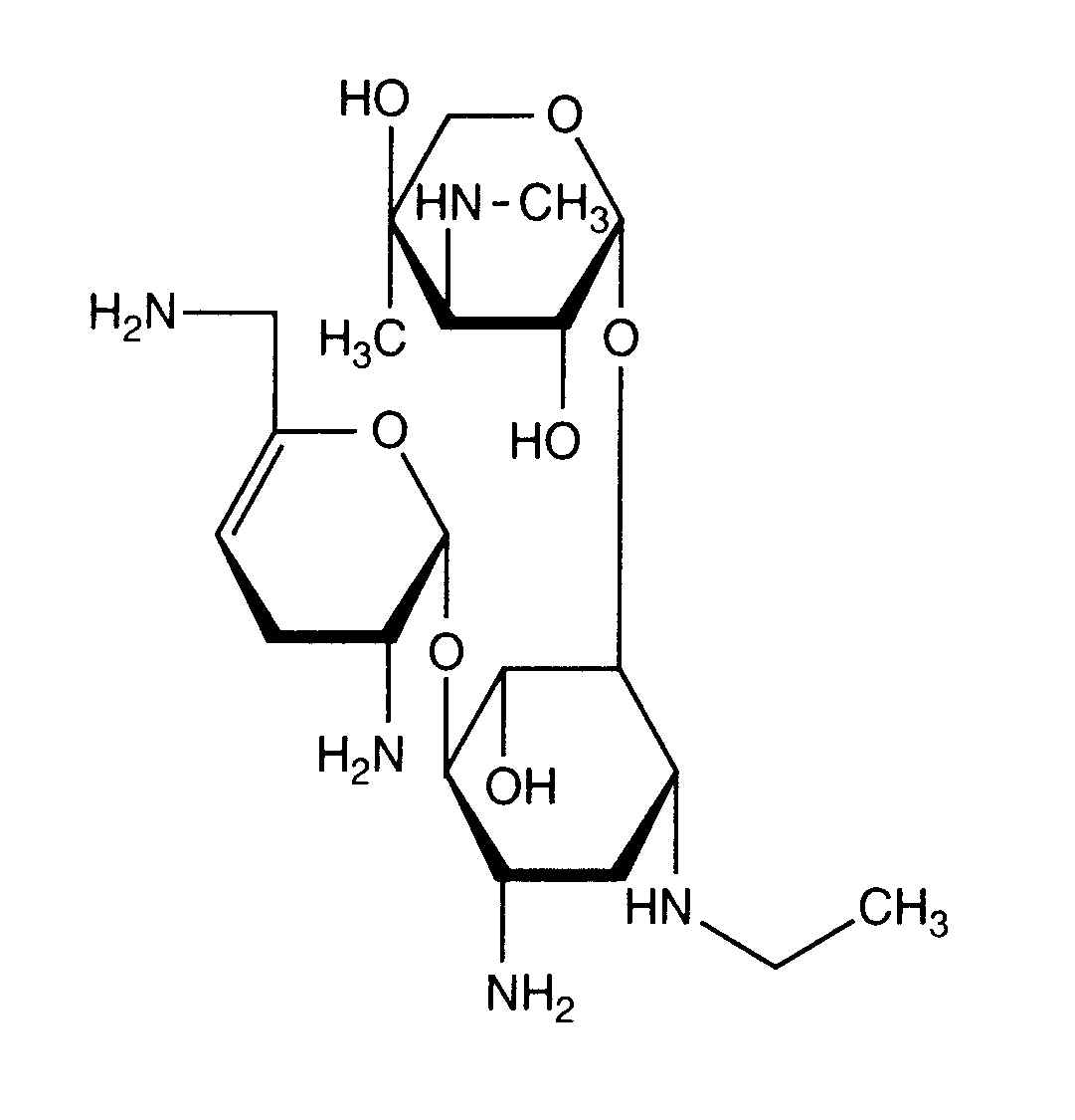
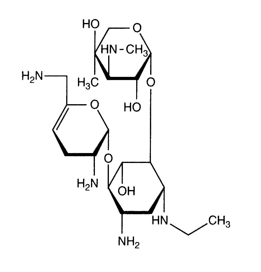
   Struttura chimica  

Nome commerciale   Nome commerciale     

Trade names are indicative and excipients composition can be different depending on the country and manufacturers

Bactob India
Beltob India
Bramicil Italia
Brulamycin Ungheria
Eltol India
Fytobra India
Gernebcin Germania
Komitub India
Nebcin Arabia Saudita, Australia, Egitto, Emirati Arabi Uniti, Gran Bretagna, Grecia, nuova Zelanda
Nebcina Danimarca, Marocco, Norvegia, Svezia
Nebcine Marocco
Nebicina Italia
Netilyn Finlandia, Svezia
Netromicina Portogallo
Netromicine Francia
Netromycine Grecia, Polonia, russo, Turchia
Nettacin Italia
Obracin Belgio, Lussemburgo, Paesi Bassi, Svizzera
Tobra Germania
Tobra Alex Egitto
Tobra Day nuova Zelanda
Tobra Gobens Spagna
Tobracin Egitto
Tobradistin Spagna
Tobramicina Italia, Portogallo, Spagna, Venezuela
Tobramina Brasile
Tobramycin Arabia Saudita, Australia, Canada, Germania, Gran Bretagna, Irlanda, Norvegia, Stati Uniti d’America
Tobramycine Francia, Irlanda, Paesi Bassi
Tobrasix Austria
Tobrazid Germania
Tomycin Finlandia
Zetamicin Italia
metodo di iniezione   metodo di iniezione :Netilmicin sulfate     
Voie
Endovenosa
Flebo endovenosa
Intramuscolare
Intratecale

  Mentions Légales