zadnja posodobitev :
27/11/2025
Antibiotik   Flucloxacillin sodium  
Brizgalka
Stabilnost raztopine Stabilnost mešanice Faktorji, ki vplivajo na stabilnost Kompatibilnost način aplikacije Viri pdf
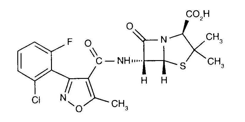
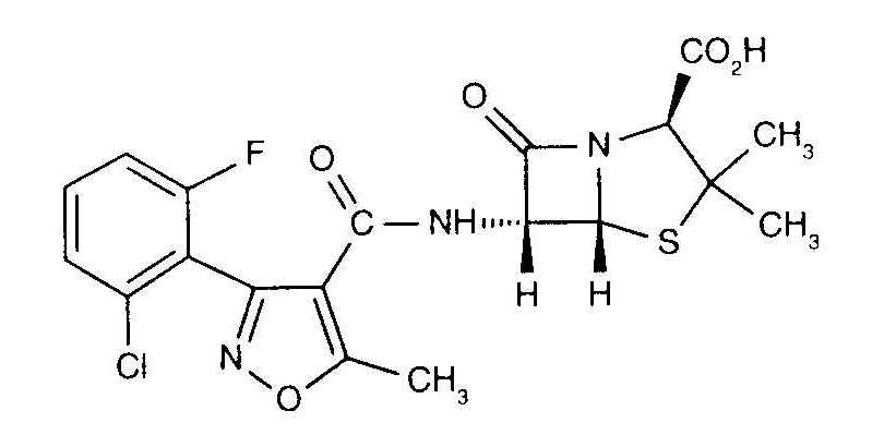
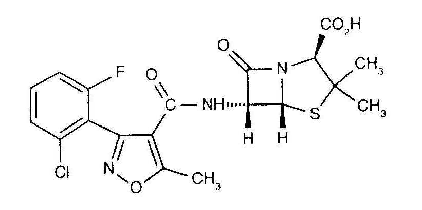
   Kemična formula  

Lastniško ime   Lastniško ime     

Sestava pomožnih snovi je med paralelami lahko različna

Astaph Maroko
Betabiotic Italija
DBL flucloxacillin sodium Avstralija
Flix Turčija
Floxam Maroko
Floxapen Avstrija, Belgija, Italija, Maroko, Nizozemska, Poljska, Portugalska, Savdska Arabija, Švica, Združene države Amerike
Flucloxacillin Avstralija, Italija, Nemčija, Velika Britanija
Flucloxacilline Belgija, Francija, Nizozemska
Flucloxin nova Zelandija
Ladropen Združene države Amerike
Stafoxil Nizozemska
Staphylex Nemčija
Viri   Brizgalka   Viri : Flucloxacillin sodium  
Tip objava
186 časopis Swart EL, Mooren RAG, Van Loenen AC.
Compatibility of midazolam hydrochloride and lorazepam with selected drugs during simulated Y-site administration.
Am J Health-Syst Pharm 1995 ; 52: 2020-2022.
889 časopis Janknegt R, Stratermans T, Cilissen J, Lohman JJHM, Hooymans PM.
Ofloxacin intravenous. Compatibility with other antibacterial agents.
Pharm Weekbl [Sci] 1991 ; 13: 207-209.
939 časopis Gilbar PJ, Groves CF.
Visual compatibility of total parenteral nutrition solution (Synthamin 17 Premix*) with selected drugs during simulated Y-site injection.
Aust J Hosp Pharm 1994 ; 24: 167-170.
1232 časopis Beatson C, Taylor A.
A physical compatibility study of furosemide & flucloxacillin injections.
Br J Pharm Pract 1987 ; 9: 223-226, 236.
1300 časopis Ahmed ST, Parkinson R.
The stability of drugs in pre-filled syringes: flucloxacillin, ampicillin, cefuroxime, cefotaxime and ceftazidime.
Hosp Pharm Pract 1992 ; 2: 285-289.
1349 časopis Sanburg AL, LyndonRC, Sunderland B.
Effects of freezing, long term storage and microwave thawing on the stability of three antibiotics reconstituted in minibags.
Aust J Hosp Pharm 1987 ; 17: 31-34.
1357 časopis Janknegt R, Schrouff GGM, Hooymans PM, Hermens WJHH, Lohman JJHM.
Quinolones and penicillins incompatibility.
Ann Pharmacotherapy 1989 ; 23: 91-92.
1494 časopis McLaughlin JP, Simpson C.
When is flucloxacillin stable ?
Hosp Pharm Pract 1993 ; 3: 553-556.
1845 časopis Müller HJ, Haker I.
The stability of amoxicillin, ampicillin, benzylpenicillin, flucloxacillin, mezlocillin and piperacillin in isotonic saline solutions when stored in an innovative infusion container (Freeflex container).
EJHP 2003 ; 6: 106-111.
2231 časopis de Jongh R, Hens R, Basma V, mouton JW, Tulkens PM, Carryn S.
Continuous versus intermittent infusion of temocillin, a directed spectrum penicillin for intensive care patients with nosocomial pneumonia: stability, compatibility, population pharmacokinetic studies and breakpoint selection.
J Antimicrob Chemother 2008 ; 61, 2: 382-388.
3091 časopis Thalhammer F, Maier-Salamon A, Jäger W.
Prüfung von Stabilität und Kompatibilität von Flucloxacillin (Floxapen®) und Ceftazidim (Fortum®) in zwei Infusionslösungen:Relevanz für die klinische Praxis.
Wien Med Wochenschr 2005 ; 155, 13-14: 337-343.
3189 časopis Tho T-P, Ching MS, Elis AG, Williams L, Garrett MK.
Stability of intravenous flucloxacillin solutions used for hospital-in-the-home.
J Pharm Pract and Res 2010 ; 40, 2: 101-105.
3385 časopis Raverdi V, Ampe E, Hecq JD, Tulkens PM.
Stability and compatibility of vancomycin for administration by continuous infusion.
J Antimicrob Chemother 2013 ; 68: 1179-1182.
3522 Traduction Laboratorij Flucloxacillin - Summary of Product Characteristics.
Actavis 2013
3529 Traduction Laboratorij Ciprofloxacin – Summary of Product Characteristics
Hospira 2013
3585 Traduction Laboratorij Benzylpenicillin sodium - Summary of Product Characteristics
Genus Pharmaceuticals 2008
3643 Traduction Laboratorij Gentamicin sulphate (Cidomycin®) - Summary of Product Characteristics
Sanofi 2015
3674 Traduction Laboratorij Erythromycin lactobionate - Summary of Product Characteristics
PanPharma 2016
4218 časopis Allwood M.C,Stonkute D, Wallace A, Wilkinson A-S, Hills T, Jamieson C,
Assessment of the stability of citrate-buffered flucloxacillin for injection when stored in two commercially available ambulatory elastomeric devices: INfusor LV (Baxter) and Accufuser (Woo Young Medical): a study compliant with the NHS Yellow Cover Document (YCD) requirements.
EJHP 2020 ; 27, 2: 90-94.
4538 časopis Campbell A, Petrovski M, Senarathna G, Mukadam ,Strunk T, Batty K.
Compatibility of pentoxifylline and parenteral medications.
Archives of Disease in Childhood 2020 ; 105: 395-397.
4590 časopis Smith E.K, McWhinney MPhil B.C.
Stability of buffered benzylpenicillin and flucloxacillin for a paediatric outpatient parenteral antibiotic therapy service.
J Pediatr Pharmacol Ther 2021 ; 51: 231-237.
4837 časopis De Silva, D.T.N Petrovski M, Strunk T, Mukadam N, Page‑Sharp N, Moore B.R, Batty K.T.
Physicochemical compatibility of caffeine citrate and caffeine base injections with parenteral medications used in neonatal intensive care settings.
Eur J Clin Pharmacol 2024 ; 80:1079–1087.
4845 časopis De Silva D.T.N, Strunk T, Petrovski M, Page-Sharp M, Moore B.R, Batty K.T.
The Physicochemical Compatibility of Sildenafil Injection with Parenteral Medications Used in Neonatal Intensive Care Settings.
Pharmaceutics 2024 ;1 6, 419.
4922 časopis Wanandy T, Handley SA, Le TTA, Lau WY, Turner ME, Wiese MD.
Stability of Antibiotics for Use in the Testing of Immediate Drug Allergy Reactions.
J Allergy Clin Immunol Pract 2024 13, 2: 343-352.

  Mentions Légales