Cập nhật lần cuối :
18/03/2026
Thuốc ức chế miễn dịch   Ciclosporin  
Dạng tiêm
Dạng bôi da Dung dịch uống Thuốc nhỏ mắt
Tính ổn định của các dung dịch Độ ổn định khi trộn lẫn Những yếu tố ảnh hưởng đến độ ổn định Khả năng tương thích Đường dùng Tài liệu tham khảo Pdf
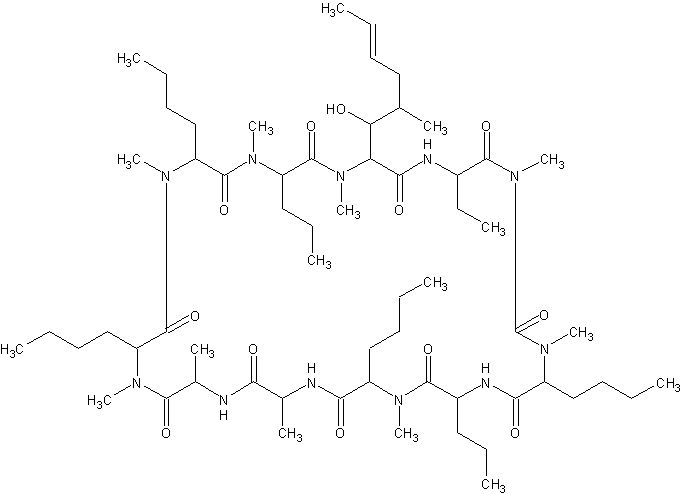
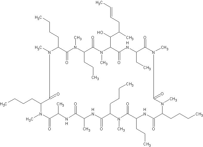
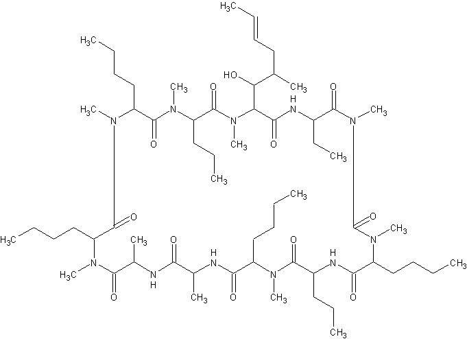
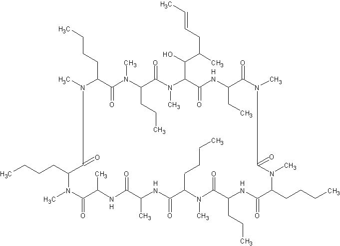
   Cấu trúc hóa học  

Tên thương mại   Tên thương mại     

Các tên thương mại được cung cấp và thành phần tá dược có thể khác nhau giữa các quốc gia và các hãng dược

Cyclosporine Canada, Hoa Kỳ
Graftin Ấn Độ
Sandimmum Ả Rập Saudi, Anh, Áo, Argentina, Ba Lan, Bỉ, Bồ Đào Nha, Chile, Colombia, Hungary, Hy Lạp, Iceland, Iran, Ireland, Luxembourg, Malaysia, Mexico, Morocco, Na Uy, new zealand, Peru, Phần Lan, Tây Ban Nha, Thổ Nhĩ Kỳ, Thụy Sỹ, Thụy Điển, Tunisia, Úc, United Arab Emirates, Ý, Đan Mạch, Đức
Đường dùng   Đường dùng :Ciclosporin     
Đường dùng
Truyền tĩnh mạch

  Mentions Légales