Viimeisin päivitys :
18/03/2026
Immunosupressiiviset lääkkeet   Ciclosporin  
Injektioneste
Oraaliliuos Salvat Silmätipat
Stabilius liuoksessa Stabilius seoksissa Tekijät, jotka vaikuttavat stabiliuteen Yhteensopivuus Antotapa Viitteet pdf
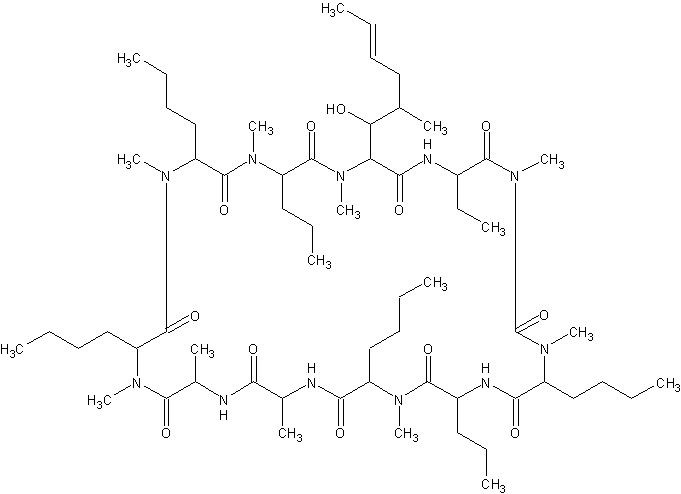
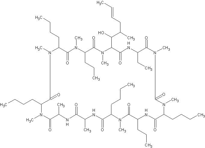
   Kemiallinen rakenne  

Kauppanimi   Kauppanimi     

Trade names are indicative and excipients composition can be different depending on the country and manufacturers

Cyclosporine Kanada, Yhdysvallat
Graftin Intia
Sandimmum Argentiina, Australia, Belgia, Chile, Espanja, Iran, Irlanti, Islanti, Iso-Britannia, Italia, Itävalta, Kolumbia, Kreikka, Luxemburg, Malesia, Marokko, Marokko, Meksiko, New Zealand, Norja, Portugali, Puola, Ruotsi, Saksa, Saudi-Arabia, Suomi, Sveitsi, Tanska, Tunisia, Turkki, Unkari, Yhdistyneet arabiemiirikunnat
Antotapa   Antotapa :Ciclosporin     
Voie
Intravenoosi-infuusio

  Mentions Légales