Letztes “update” :
18/03/2026
Immunsuppressivum   Ciclosporin  
Injektion
Augentropfen Lösung zum Einnehmen Salben
Stabilität der Lösung Gemengestabilität Stabilitätbeeinflussende Faktoren Kompatibilitäten Applikationsart Literaturverzeichnis pdf
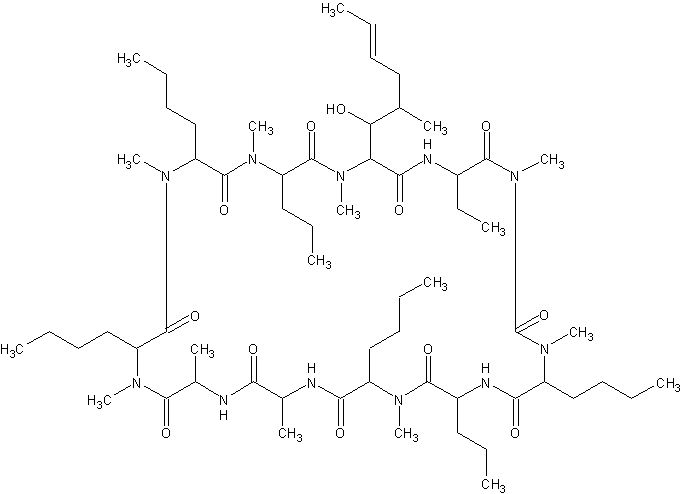
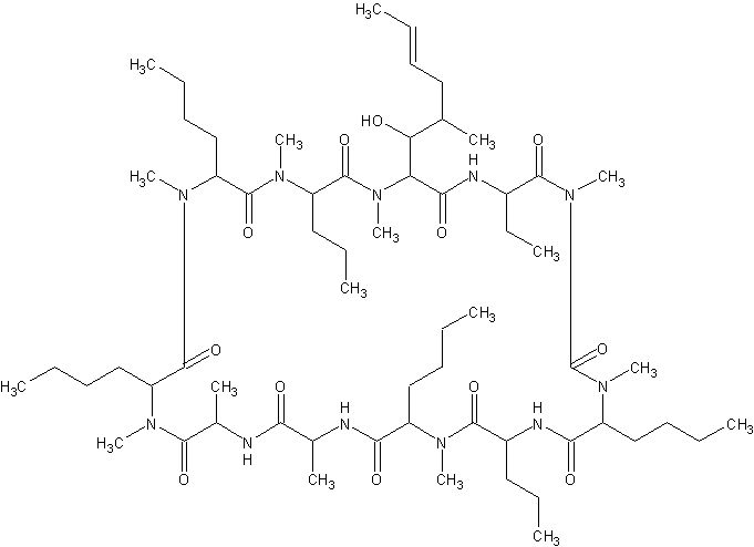
   Chemische Struktur  

Handelsmarke   Handelsmarke     

Handelsnamen sind als beispielhaft anzusehen. Sonstige Bestandteile können je nach Hersteller oder Land verschieden sein

Cyclosporine Kanada, Vereinigte Staaten von Amerika
Graftin Indien
Sandimmum Argentinien, Australien, Belgien, Chile, Dänemark, Deutschland, Finnland, Griechenland, Großbritannien, Iran, Irland, Island, Italien, Kolumbien, Luxemburg, Malaysia, Marokko, Mexiko, Neuseeland, Norwegen, Österreich, Peru, Polen, Portugal, Saudi-Arabien, Schweden, Schweiz, Spanien, Tunesien, Türkei, Ungarn, Vereinigte Arabische Emirate
Applikationsart   Applikationsart :Ciclosporin     
Verabreichung
Intravenöse Perfusion

  Mentions Légales