最新更新 :
27/11/2025
免疫抑制薬   Ciclosporin  
注射薬
点眼薬 経口液 軟膏薬
溶媒内の安定性 混合時の安定性 安定性に影響する因子 互換性 投与経路 引用文献 PDF
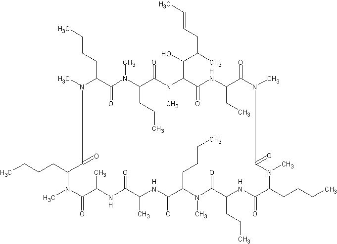
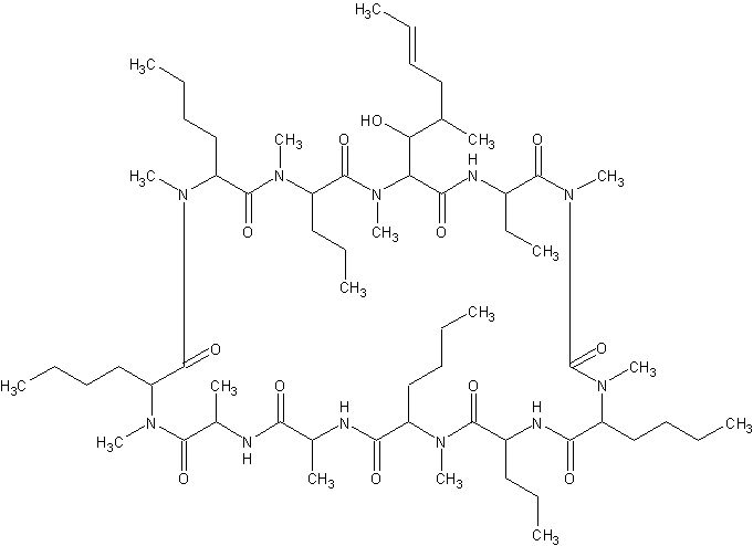
   化学構造  

商品名   商品名     

商品名、賦形剤は国、製薬会社ごとに異なることがあります

Cyclosporine アメリカ, カナダ
Graftin インド
Sandimmum アイスランド, アイルランド, アラブ首長国連邦, アルゼンチン, アーストラリア, イギリス, イタリア, イラン, オーストリア, ギリシア, コロンビア, サウジアラビア, スイス, スウェーデン, スペイン, チュニジア, チリ, デンマーク, トルコ, ドイツ, ニュージーランド, ノルウェー, ハンガリー, フィンランド, ベルギー, ペルー, ポルトガル, ポーランド, マレーシア, メキシコ, モロッコ, ルクセンブルグ
投与経路   投与経路 :Ciclosporin     
経路
点滴静注

  Mentions Légales