|
|
Lastniško ime |
|
|
Sestava pomožnih snovi je med paralelami lahko različna
|
|
Abbocurium |
Poljska |
|
Acurmil |
Italija |
|
Ancour |
Iran |
|
Anecur |
Iran |
|
Atacur |
Savdska Arabija |
|
Atrabesylate |
Egipt |
|
Atracurio |
Argentina, Brazilija, Španija |
|
Atracurio besilato |
Čile, Italija, Peru, Venezuela |
|
Atracurium |
Argentina, Avstrija, Egipt, Iran, Italija, Malezija, Nemčija, Savdska Arabija, Švedska, Velika Britanija, Združeni arabski emirati |
|
Atracurium besilat |
Avstrija |
|
Atracurium besilate |
Avstralija, Egipt, Iran, Kanada, nova Zelandija, Savdska Arabija, Združene države Amerike, Združeni arabski emirati |
|
Atralex |
Malezija |
|
Atrasyl |
Turčija |
|
Besilato Atracurio |
Čile, Portugalska, Španija |
|
Faulcurium |
Egipt, Portugalska |
|
Gelolagar |
Argentina |
|
Laurak |
Španija |
|
Neucurium |
Turčija |
|
Notrixum |
Turčija |
|
Relactrac |
Kolumbija |
|
Relatrac |
Mehika |
|
Tracrium |
Avstrija, Belgija, Čile, Egipt, Ekvador, Francija, Grčija, Iran, Irska, Italija, Kolumbija, Luksemburg, Madžarska, Malezija, Maroko, Mehika, Nemčija, Nizozemska, nova Zelandija, Poljska, Portugalska, Romunija, Savdska Arabija, Slovenija, Španija, Švica, Turčija, Velika Britanija, Združene države Amerike, Združeni arabski emirati |
|
Tracumek |
Peru |
|
Tracurix |
Argentina |
|
Tracuron |
Argentina |
|
|
|
|
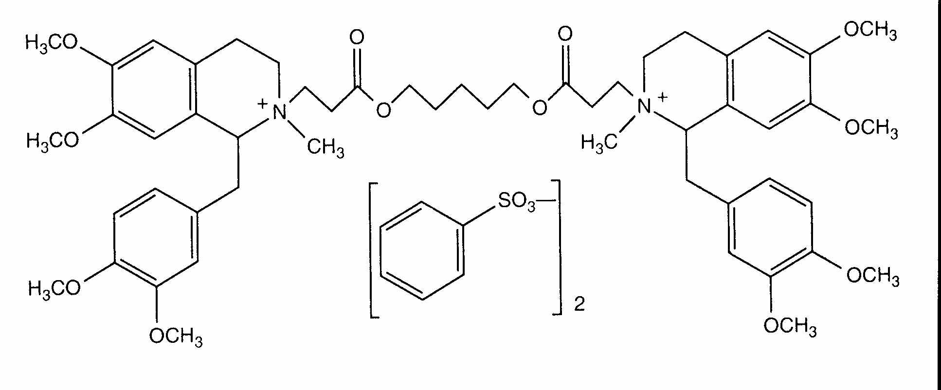
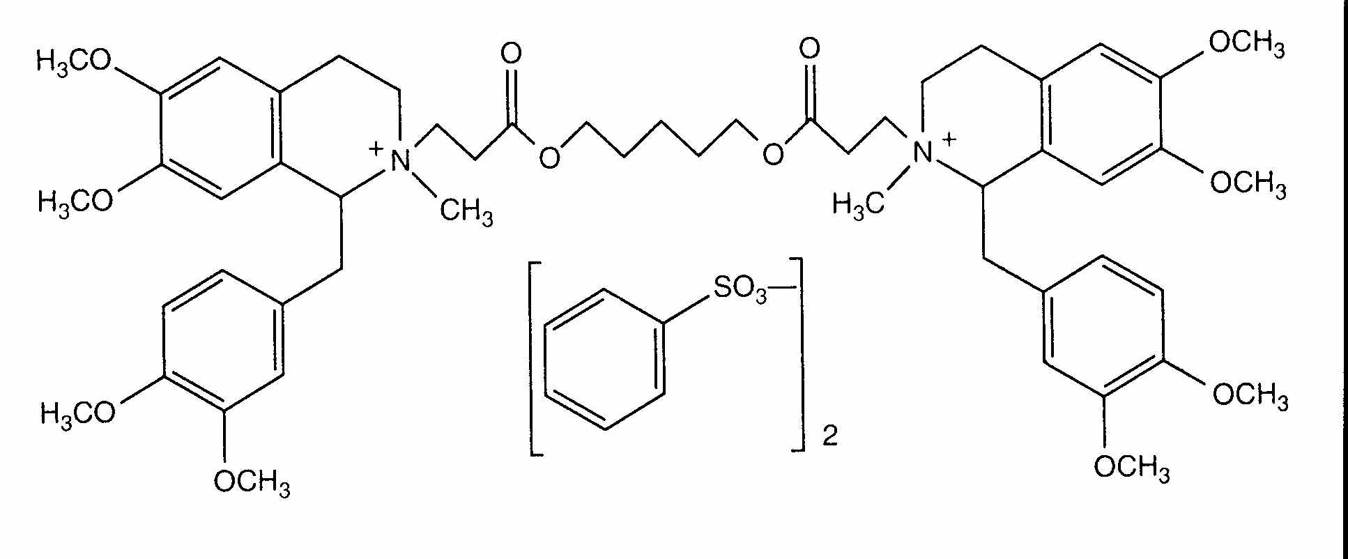
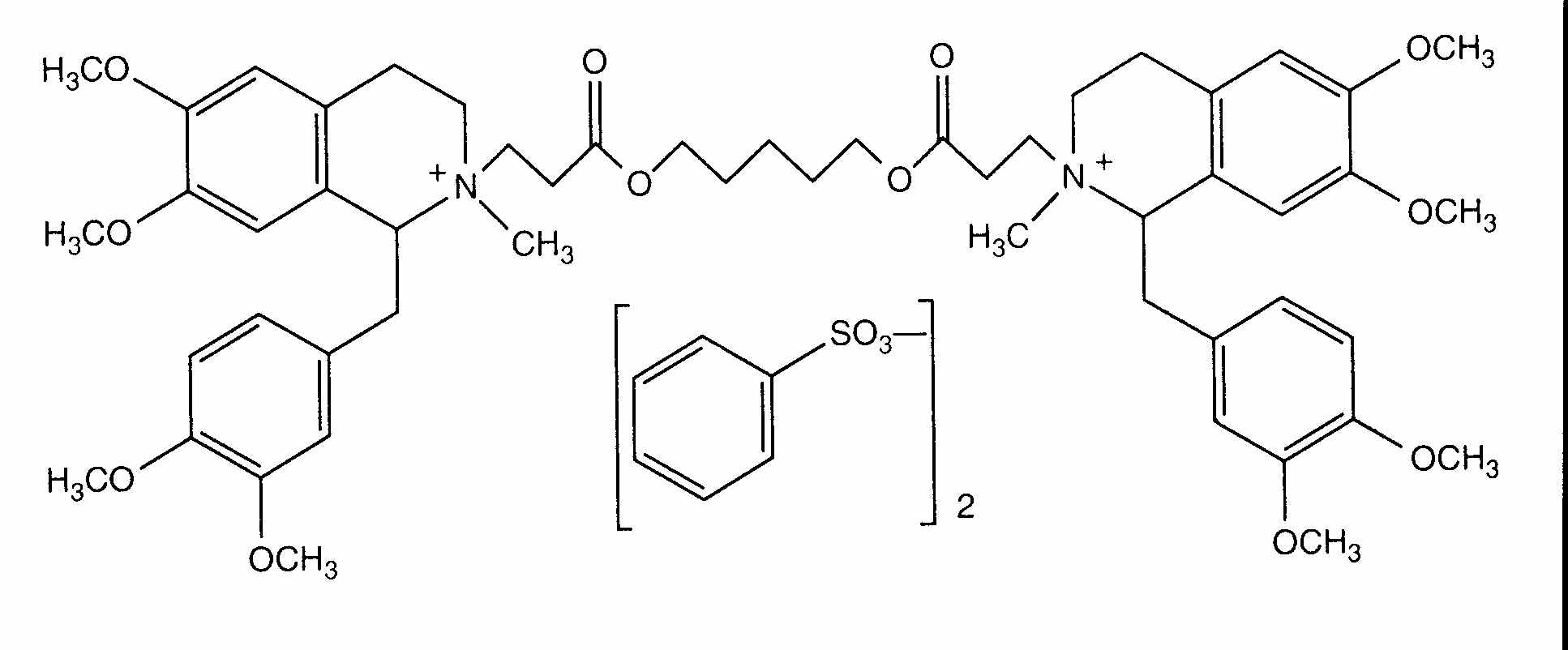
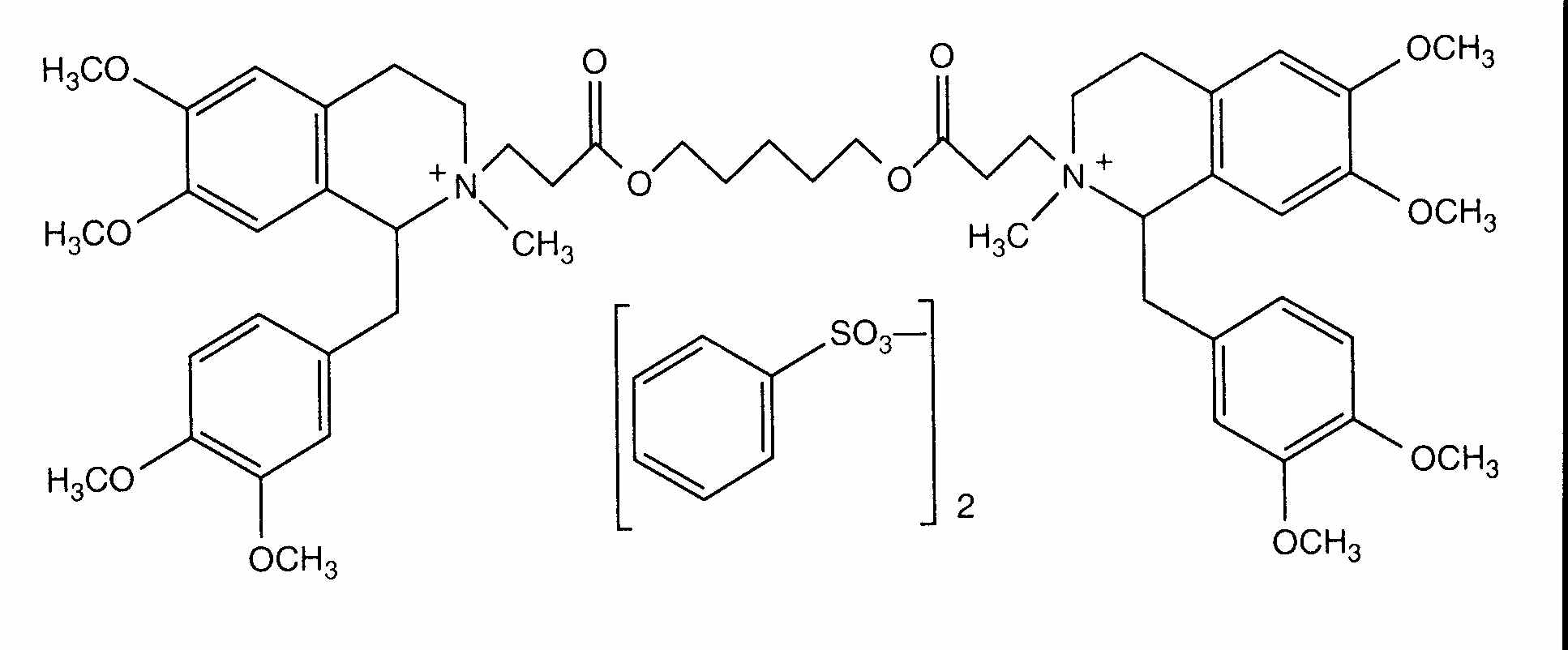
Viri : Atracurium besylate |
|
|
Tip |
objava |
| 285 |
časopis |
Elmore RL, Contois ME, Kelly J, Noe A, Poirier A. Stability and compatibility of admixtures of intravenous ciprofloxacin and selected drugs. Clin Ther 1996 ; 18: 246-255. |
| 300 |
časopis |
Trissel LA, Gilbert DL, Martinez JF. Compatibility of propofol injectable emulsion with selected drugs during simulated Y-site administration. Am J Health-Syst Pharm 1997 ; 54: 1287-1292. |
| 319 |
časopis |
Hadzija BW, Lubarsky DA. Compatibility of etomidate, thiopental sodium, and propofol injections with drugs commonly administered during induction of anesthesia. Am J Health-Syst Pharm 1995 ; 52: 997-999. |
| 402 |
časopis |
Savitsky ME. Visual compatibility of neuromuscular blocking agents with various injectable drugs during simulated Y-site injection. Am J Hosp Pharm 1990 ; 47: 820-821. |
| 657 |
časopis |
Pramar YV, Loucas VA, Word D. Chemical stability and adsorption of atracurium besylate injections in disposable plastic syringes. J Clin Pharm Ther 1996 ; 21: 173-175. |
| 660 |
časopis |
Michaels MR, Stauffer GL, Haas DP. Propofol compatibility with other intravenous drug products - Two new methods of evaluating IV emulsion compatibility. Ann Pharmacotherapy 1996 ; 30: 228-232. |
| 813 |
časopis |
Akkermann SR, Zhang H, Mullins RE, Yaughn K. Stability of milrinone lactate in the presence of 29 critical care drugs and 4 IV solutions. Am J Health-Syst Pharm 1999 ; 56: 63-68. |
| 865 |
časopis |
Bhatt-Mehta V, Hirata S. Physical compatibility and chemical stability of atracurium besylate and midazolam hydrochloride during intravenous coinfusion. Int J Pharm Compound 1998 ; 2: 79-81. |
| 939 |
časopis |
Gilbar PJ, Groves CF. Visual compatibility of total parenteral nutrition solution (Synthamin 17 Premix*) with selected drugs during simulated Y-site injection. Aust J Hosp Pharm 1994 ; 24: 167-170. |
| 1093 |
časopis |
Fisher DM, Canfell, Miller RD. Stability of atracurium administered by infusion. Anesthesiology 1984 ; 61: 347-348. |
| 1611 |
časopis |
Chalmers JR, Bobek MB, Militello MA. Visual compatibility of amiodarone hydrochloride injection with various intravenous drugs. Am J Health-Syst Pharm 2001 ; 58: 504-506. |
| 1647 |
časopis |
Ackland G. Physical incompatibility between atracurium and intravenous diclofenac. Anaesthesia 2001 ; 56: 294. |
| 1721 |
časopis |
Trissel LA, Williams KY, Baker MB. Compatibility screening of Hextend during simulated Y-site administration with other drugs. Int J Pharm Compound 2001 ; 5: 69-72. |
| 1803 |
časopis |
Trissel, LA, Saenz CA, Ogundele OB, Ingram D, Baker MB. Compatibility of fenoldopam mesylate with other drugs during simulated Y-site administration. Am J Health-Syst Pharm 2003 ; 60: 80-85. |
| 3373 |
časopis |
Khan S, Stannard N, Greijn J. Precipitation of thiopental with muscle relaxants: a potential hazard. J R Soc Med Sh Rep 2011 ; 2: 58. |
| 3502 |
Traduction Laboratorij |
Propofol (Diprivan®) - Summary of Products Characteristics Astra Zeneca 2012 |
| 3629 |
Traduction Laboratorij |
Atracurium (Atracurium solution for injection/infusion®) - Summary of Product Characteristics Actavis UK 2014 |
| 3659 |
Traduction Laboratorij |
Propofol (Diprivan®) - Résumé des caractéristiques du produit AstraZeneca 2016 |
| 3676 |
Traduction Laboratorij |
Atracurium bésilate (Atracurium Hospira®) - Résumé des caractéristiques du produit Hospira 2014 |
| 4428 |
časopis |
Rashed S.M, Sweatman T.W, Thoma L, Hovinga C.A, Phelps S.J. Chemical Compatibility of Depacon® with Medications Frequently Administered by Intravenous Y-Site Delivery in Patients with Epilepsy or Head Trauma. J Pediatr Pharmacol Ther 2004 ; 9, 2: 126-132. |
| 5042 |
Traduction Laboratorij |
Dexdor 100 micrograms/ml concentrate for solution for infusion - Summary of Product Characteristics. Orion Corporation 2016 |
|
|