viimane versioon :
31/03/2026
mitmesugune   Quetiapine fumarate  
suukaudne lahus
Stabiilsust ravimpreparaadid Stabiilsust mõjutavad tegurid stabiilsust mõjutavad faktorid Sobimatus Viited pdf
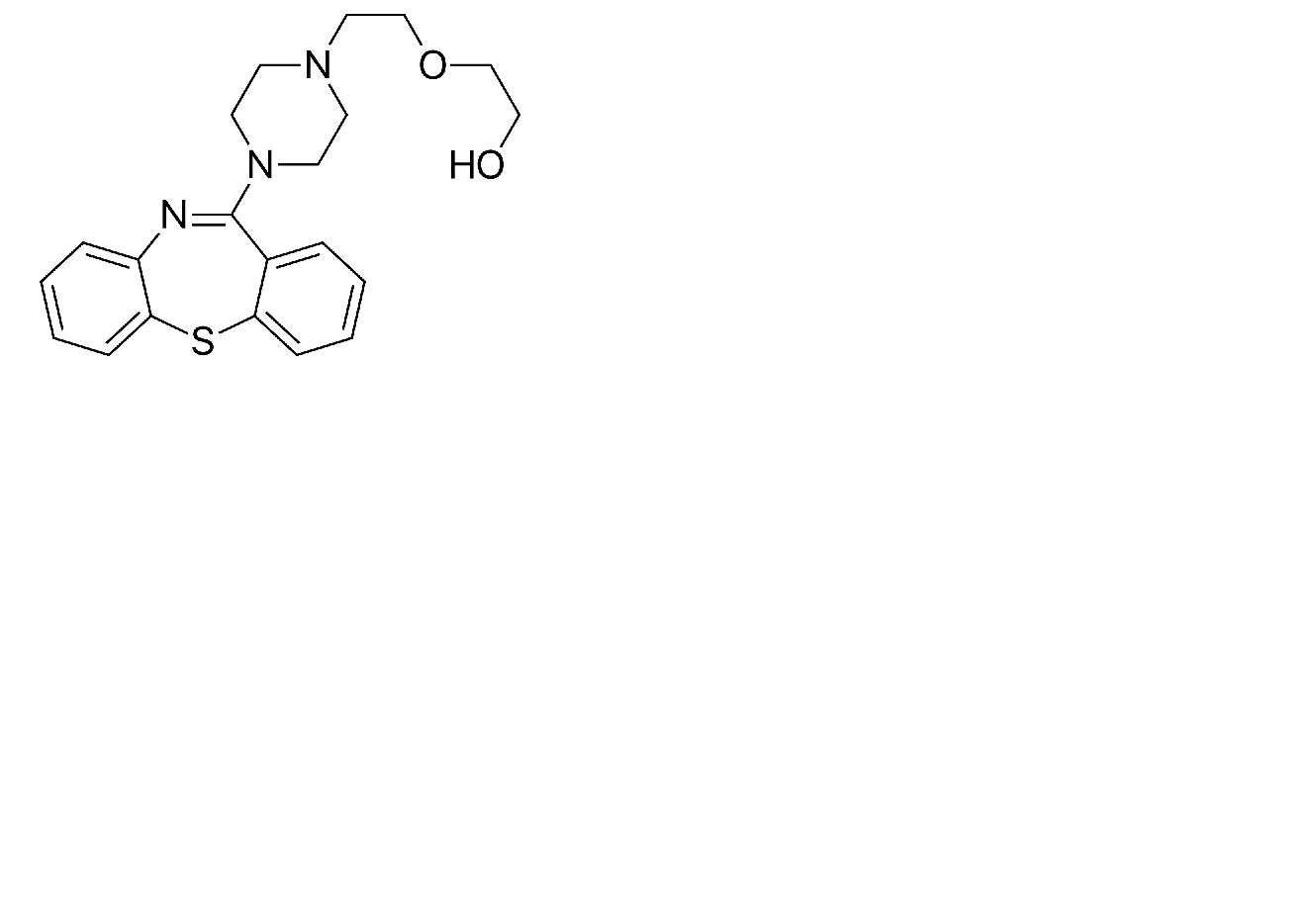
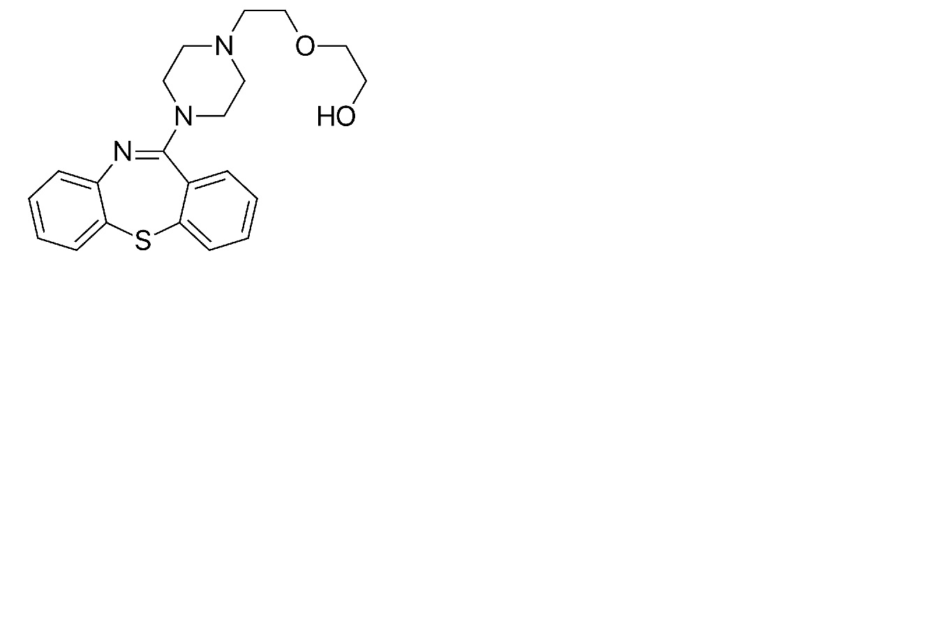
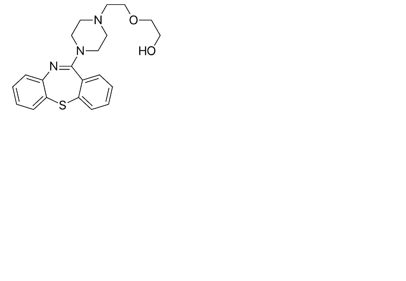
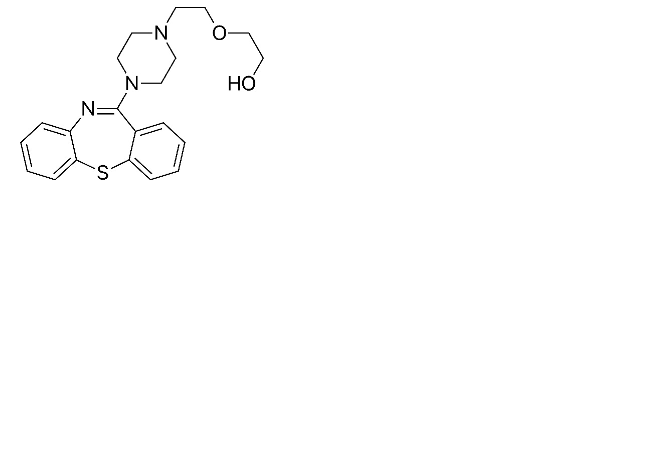
   keemiline struktuur  

suukaudne lahus
Stabiilsust mõjutavad tegurid   suukaudne lahus   Stabiilsust mõjutavad tegurid : Quetiapine fumarate     
andmed puuduvad

  Mentions Légales