Последно актуализиране :
31/03/2026
Други   Quetiapine fumarate  
Орален разтвор
Стабилност на лекарствени препарати Стабилност на смеси Фактори, повлияващи стабилността Съвместимост Библиография Pdf
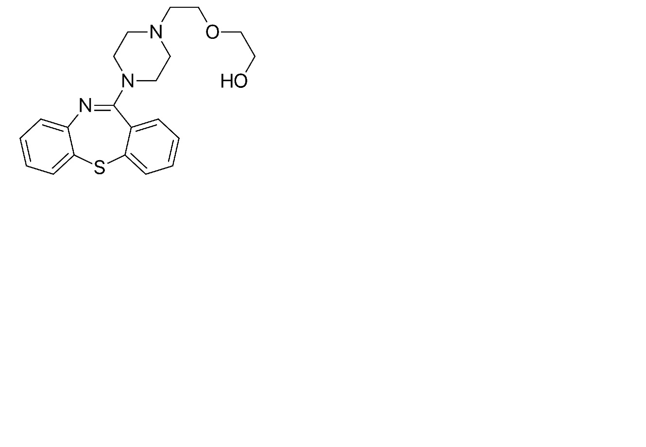
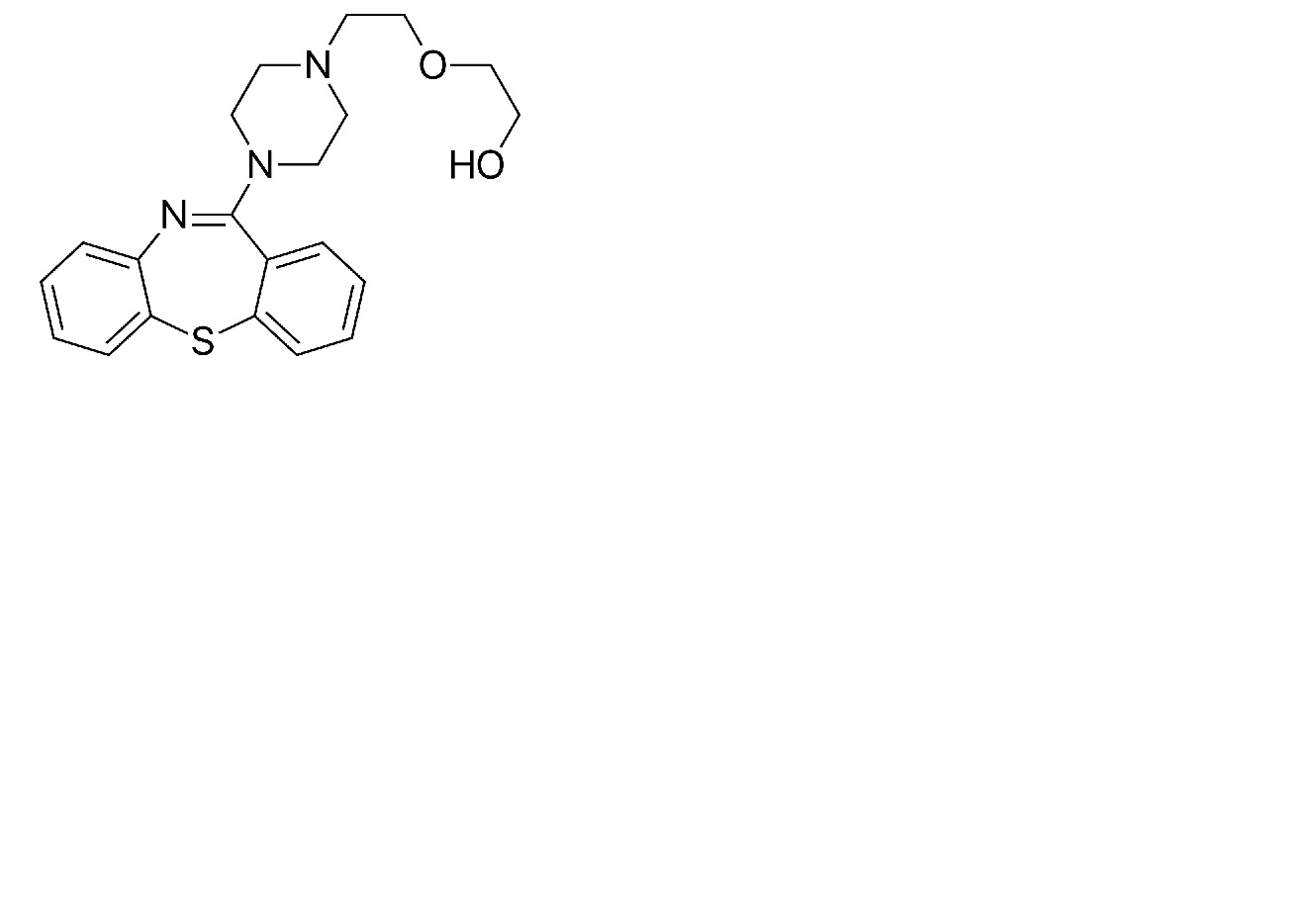
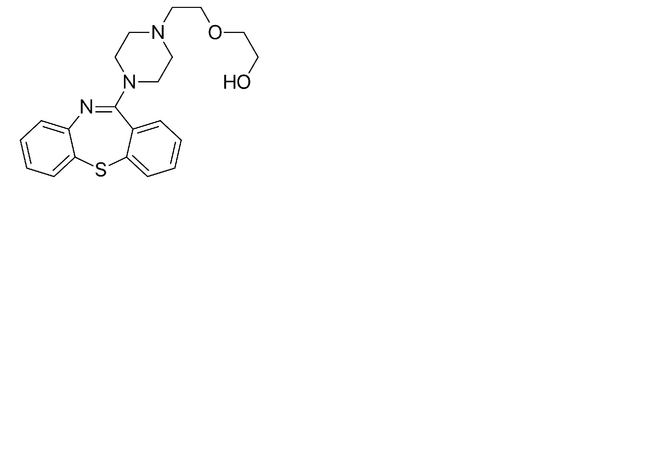
   Химична структура  

Орален разтвор
Стабилност на смеси   Орален разтвор   Стабилност на смеси : Quetiapine fumarate     
Няма данни

  Mentions Légales