Seneste opdatering :
31/03/2026
Diverse   Quetiapine fumarate  
Oral opløsning
Stabilitet af farmaceutiske tilberedninger Stabilitet i blandinger Faktorer der påvirker stabiliteten Kompatibilitet Bibliografi pdf
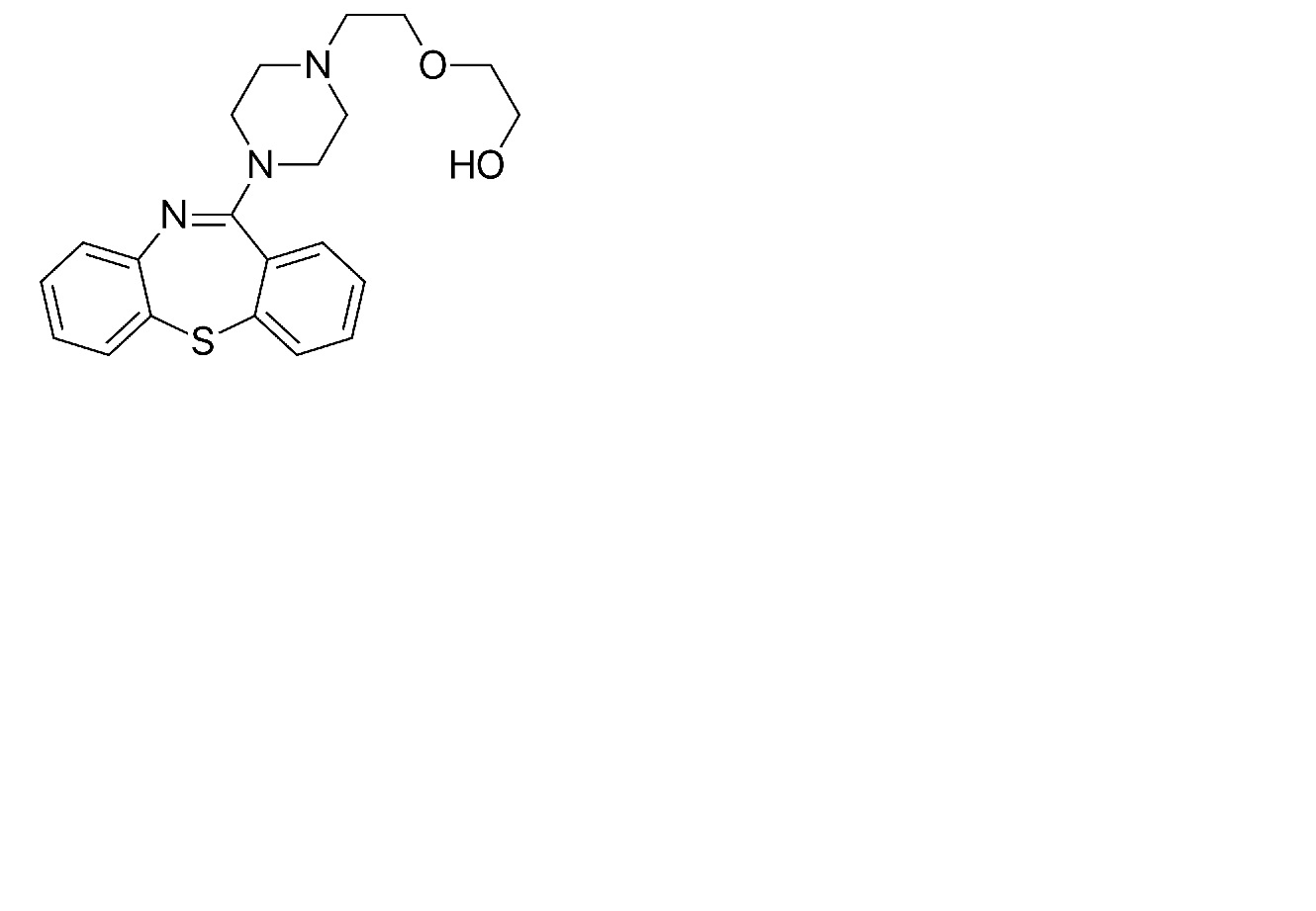
   Kemisk struktur  

Oral opløsning
Stabilitet i blandinger   Oral opløsning   Stabilitet i blandinger : Quetiapine fumarate     
Ingen data

  Mentions Légales