Senaste uppdateringen :
31/03/2026
Diverse   Quetiapine fumarate  
Oral lösning
Stabilitet av läkemedel Stabilitet i blandningar Faktorer som påverkar stabiliteten Kompatibilitet Hänvisningar pdf
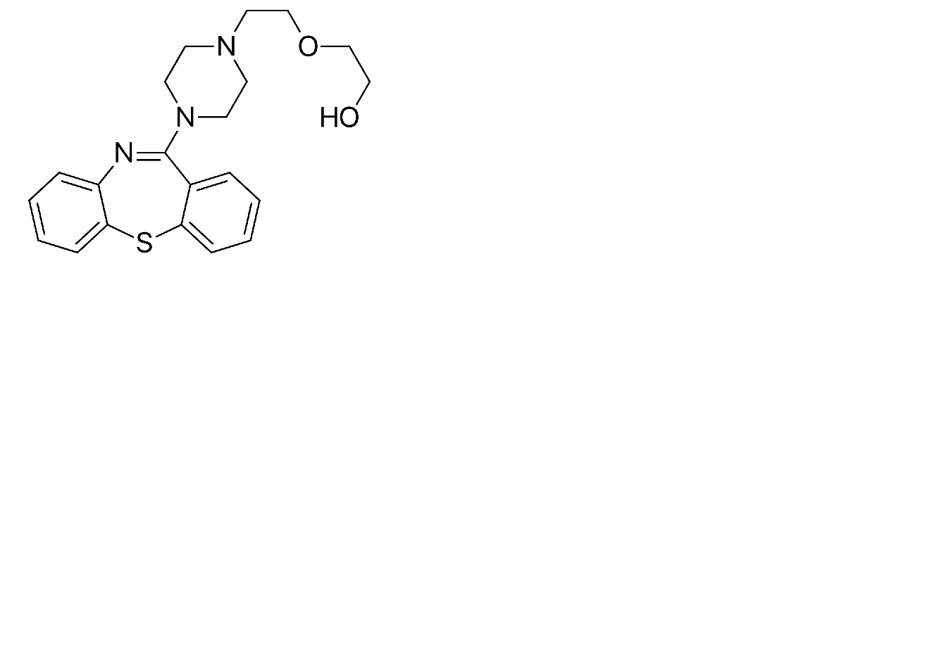
   Molekylstruktur  

Oral lösning

Faktorer som påverkar stabiliteten   Oral lösning   Faktorer som påverkar stabiliteten : Quetiapine fumarate        
Ingen uppgift

  Mentions Légales