最新更新 :
31/03/2026
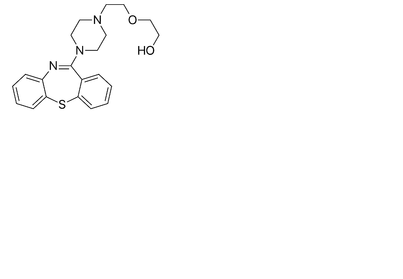
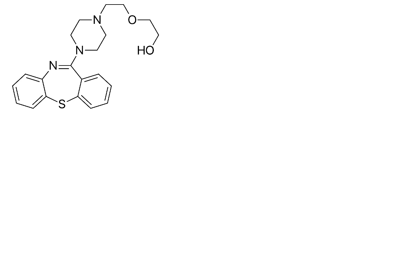
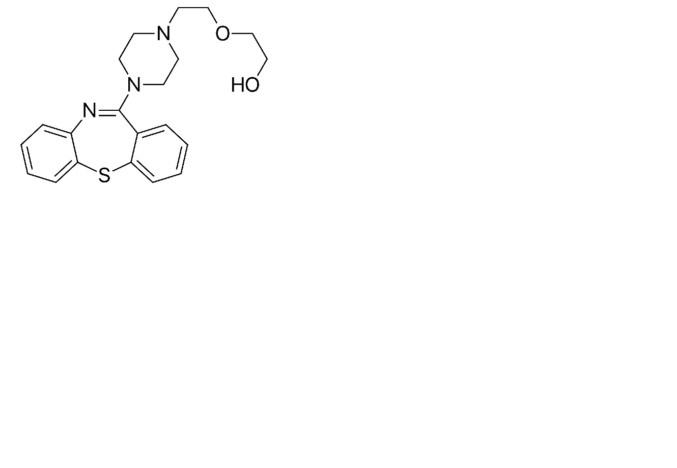
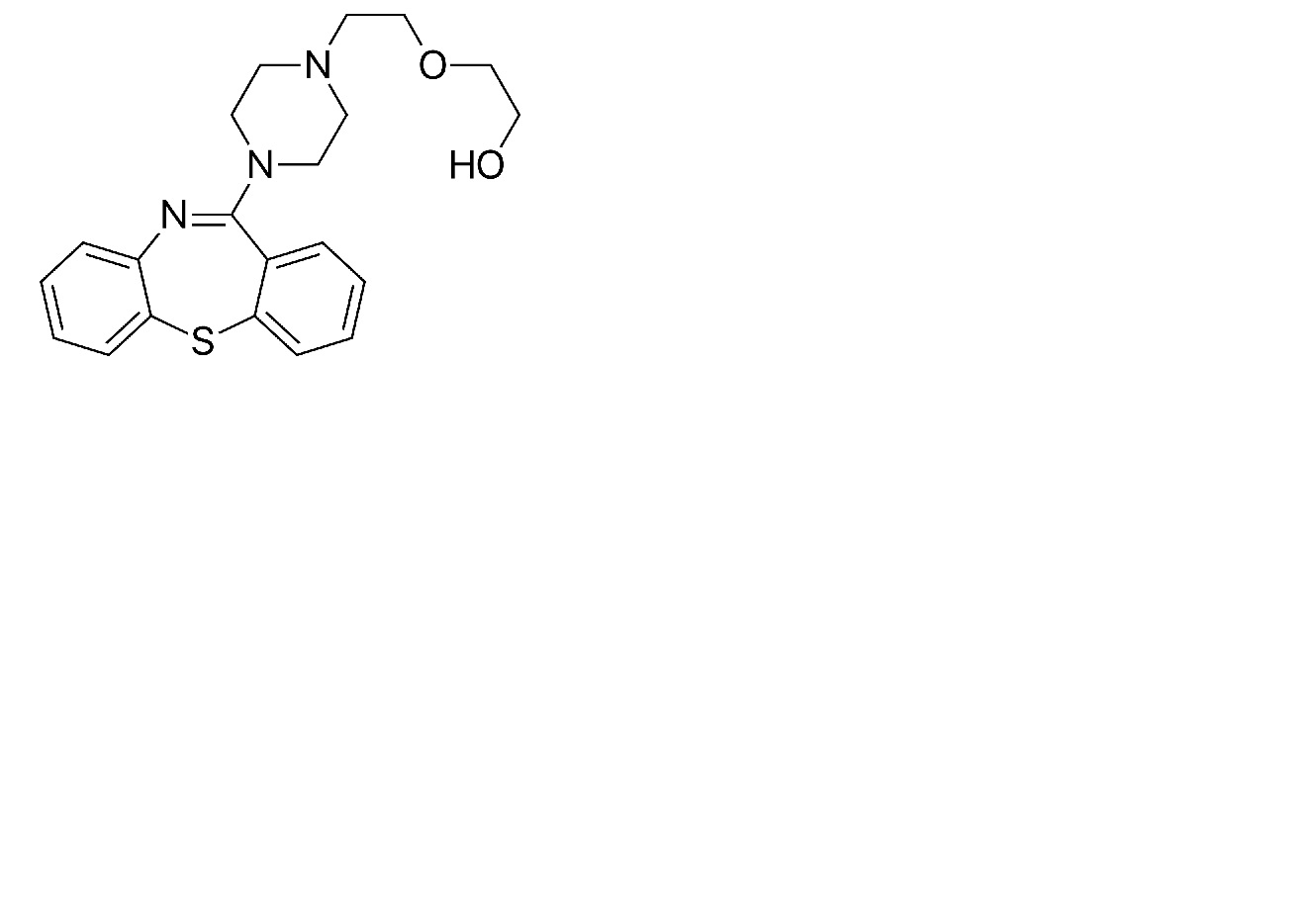
様々なもの   Quetiapine fumarate  
経口液
調剤時の安定性 混合時の安定性 安定性に影響する因子 互換性 引用文献 PDF
   化学構造  

経口液

安定性に影響する因子   経口液   安定性に影響する因子 : Quetiapine fumarate        
データなし

  Mentions Légales