Siste oppdatering :
31/03/2026
Forskjellig   Quetiapine fumarate  
Mikstur
Stabilitet av farmasøytiske preparater Stabilitet i blandinger Faktorer som påvirker stabiliteten Kompatibilitet Referanser pdf
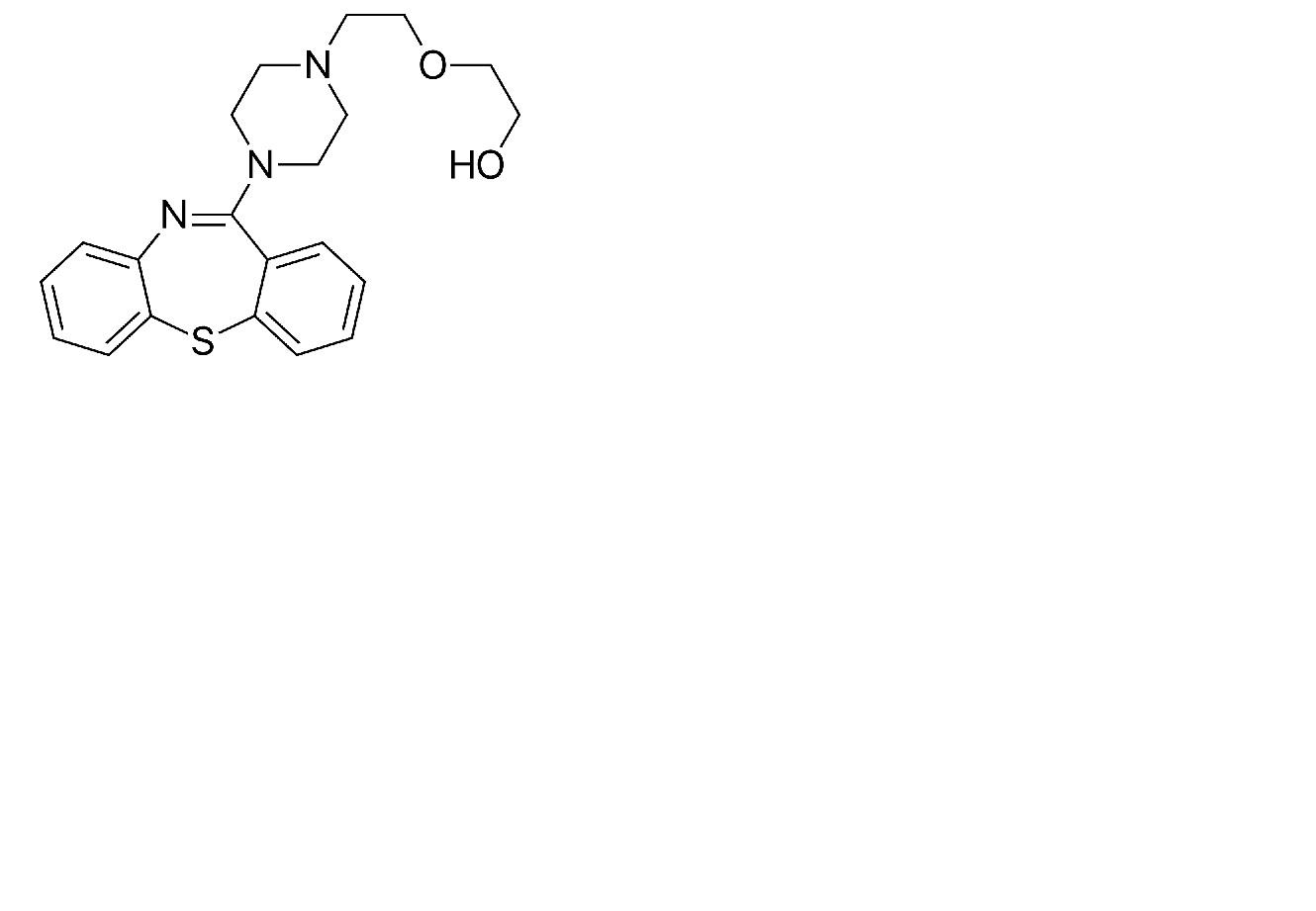
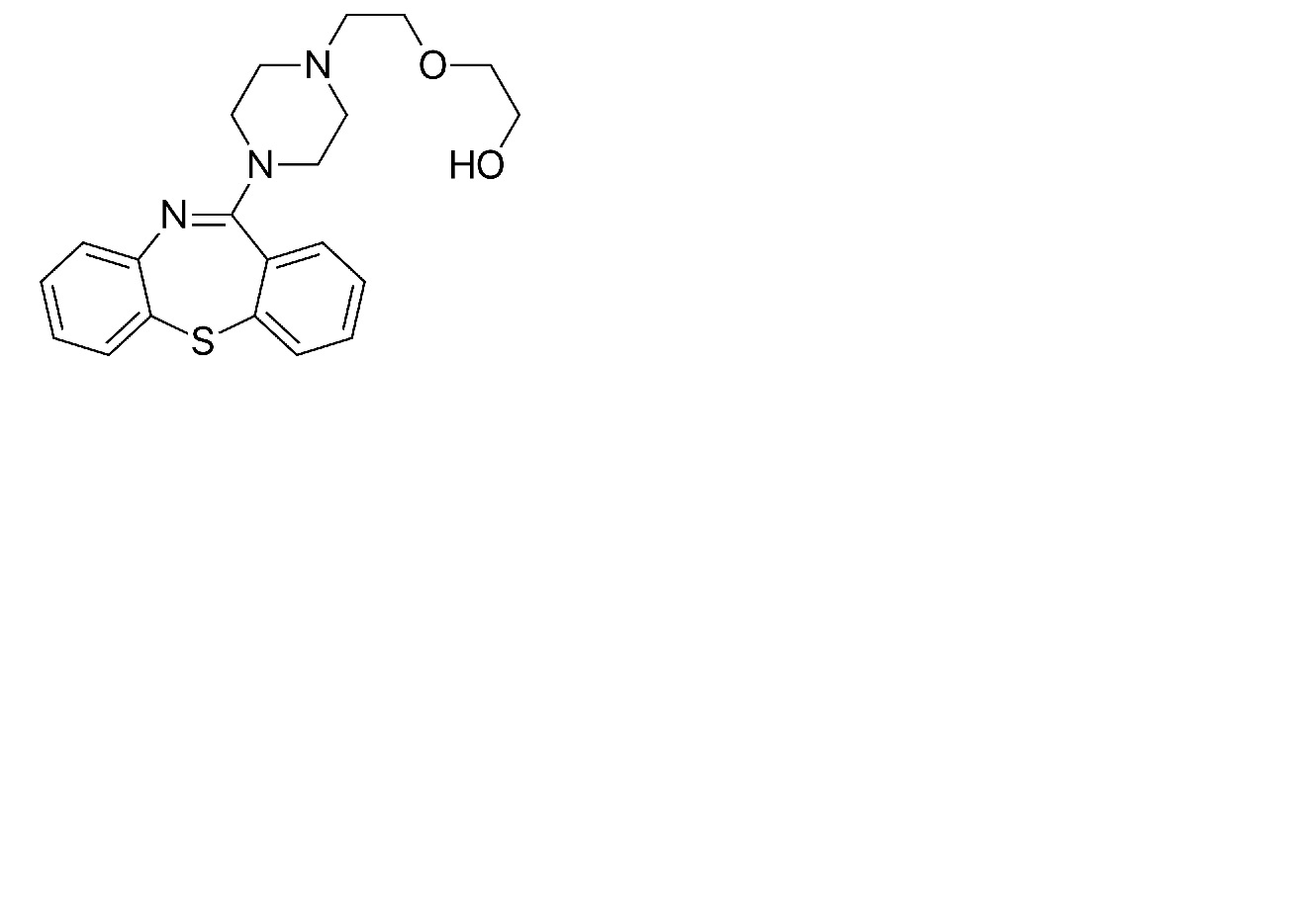
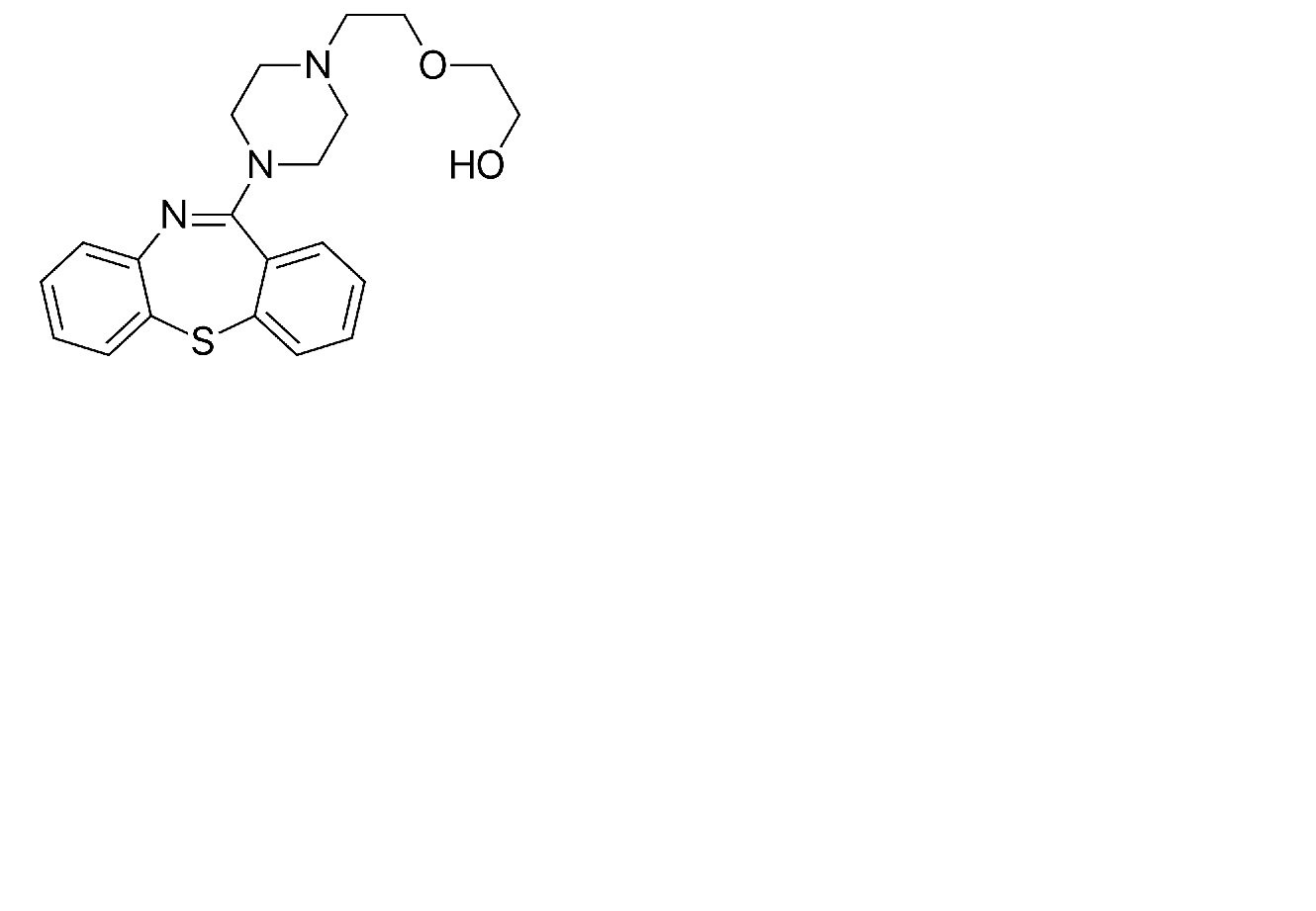
   Kjemisk struktur  

Mikstur

Faktorer som påvirker stabiliteten   Mikstur   Faktorer som påvirker stabiliteten : Quetiapine fumarate        
Ingen opplysninger

  Mentions Légales