Posledná aktualizácia :
18/03/2026
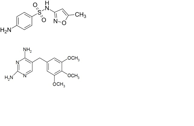
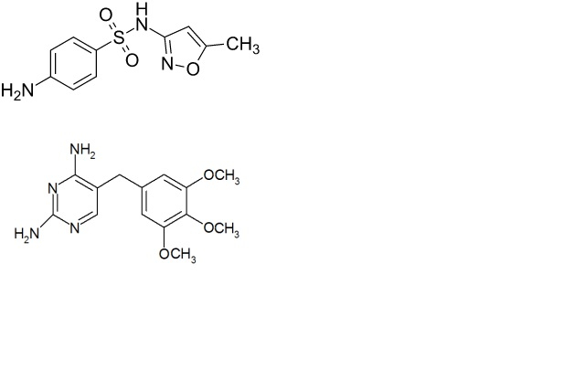
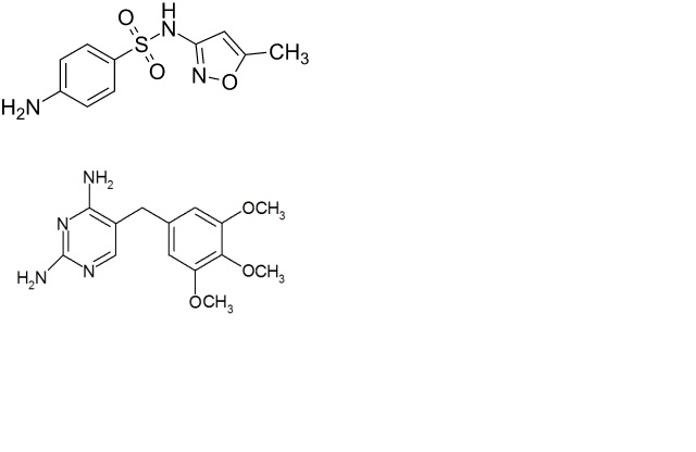
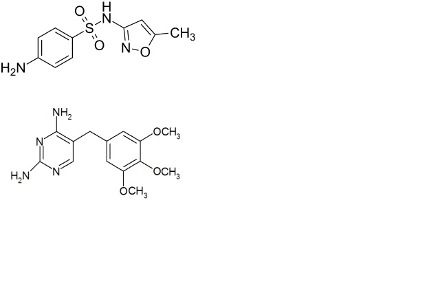
antibiotikum   Co-trimoxazole  
Perorálny roztok
Injekcia
Stabilita farmaceutických prípravkov Stabilita v zmesiach Faktory ovplyvňujúce stabilitu Kompatibility Odkazy na literatúru PDF
   Chemický vzorec  

Perorálny roztok
Odkazy na literatúru   Perorálny roztok   Odkazy na literatúru : Co-trimoxazole  
Typ Publikácia
4638 Časopis St-Jean I, Friciu M, Monfort A, MacMahon J, Forest J-M, Walker S, Leclair G.
Stability of Extemporaneously Compounded Suspensions of Trimethoprim and Sulfamethoxazole in Amber Plastic Bottles and Amber Plastic Syringes.
Can J Hosp Pharm 2021 2021;74(4):327-33

  Mentions Légales