Последнее обновление :
18/03/2026
Антибиотик   Co-trimoxazole  
Раствор для перорального приёма
Инъекция
Стабильность фармацевтических препаратов Стабильность смесей Факторы, которые влияют на стабильность Совместимость Библиография pdf
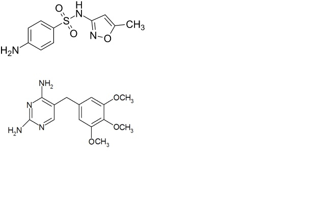
   Химическая структура  

Раствор для перорального приёма
Библиография   Раствор для перорального приёма   Библиография : Co-trimoxazole  
тип публикация
4638 Журнал St-Jean I, Friciu M, Monfort A, MacMahon J, Forest J-M, Walker S, Leclair G.
Stability of Extemporaneously Compounded Suspensions of Trimethoprim and Sulfamethoxazole in Amber Plastic Bottles and Amber Plastic Syringes.
Can J Hosp Pharm 2021 2021;74(4):327-33

  Mentions Légales