Ultimele actualizari :
17/12/2025
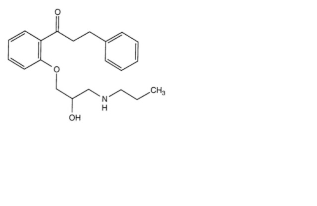
Antiaritmic   Propafenone Hydrochloride  
Soluţie orală
Injectabil
Stabilitatea preparatelor farmaceutice Stabilitatea in amestec Factorii care influenteaza stabilitatea Compatibilitate Bibliografie pdf
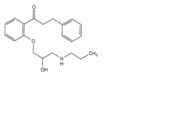
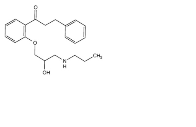
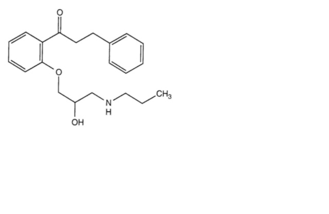
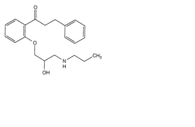
   Formula chimica  

Soluţie orală
Stabilitatea preparatelor farmaceutice   Soluţie orală   Stabilitatea preparatelor farmaceutice : Propafenone Hydrochloride     
Continut Origine Excipient Temperatura Conservare Durata stabilității Bibiografie
Sticla din plastic Comprimate 1000 mg
® = Abbott Laboratories
OraPlus® / OraSweet® (1:1) >> 100 mL
2-8°C Neprecizat
90 Ziua
4547

Sticla din plastic Comprimate 1000 mg
® = Abbott Laboratories
OraPlus® / OraSweet® (1:1) >> 100 mL
22-30°C Neprecizat
90 Ziua
4547


  Mentions Légales