Laatste update :
31/03/2026
Anti-arrhytmicum   Propafenone Hydrochloride  
Orale Oplossing
injecteerbaar geneesmiddel
Stabiliteit van farmaceutische preparaten Stabiliteit in mengsels Factoren die de stabiliteit beïnvloeden Verenigbaarheden Literatuur pdf
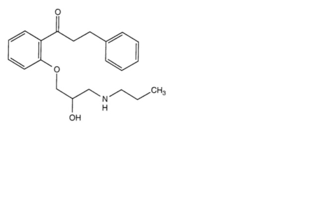
   Molecuulstructuur  

Orale Oplossing
Stabiliteit van farmaceutische preparaten   Orale Oplossing   Stabiliteit van farmaceutische preparaten : Propafenone Hydrochloride     
Verpakking Origine  ikˈsipēənt hulpstof Temperatuur Bewaring Duur van de stabiliteit Literatuur
plastic fles tabletten 1000 mg
® = Abbott Laboratories
OraPlus® / OraSweet® (1:1) >> 100 mL
2-8°C Niet gespecificeerd
90 Dag
4547

plastic fles tabletten 1000 mg
® = Abbott Laboratories
OraPlus® / OraSweet® (1:1) >> 100 mL
22-30°C Niet gespecificeerd
90 Dag
4547


  Mentions Légales