zadnja posodobitev :
18/03/2026
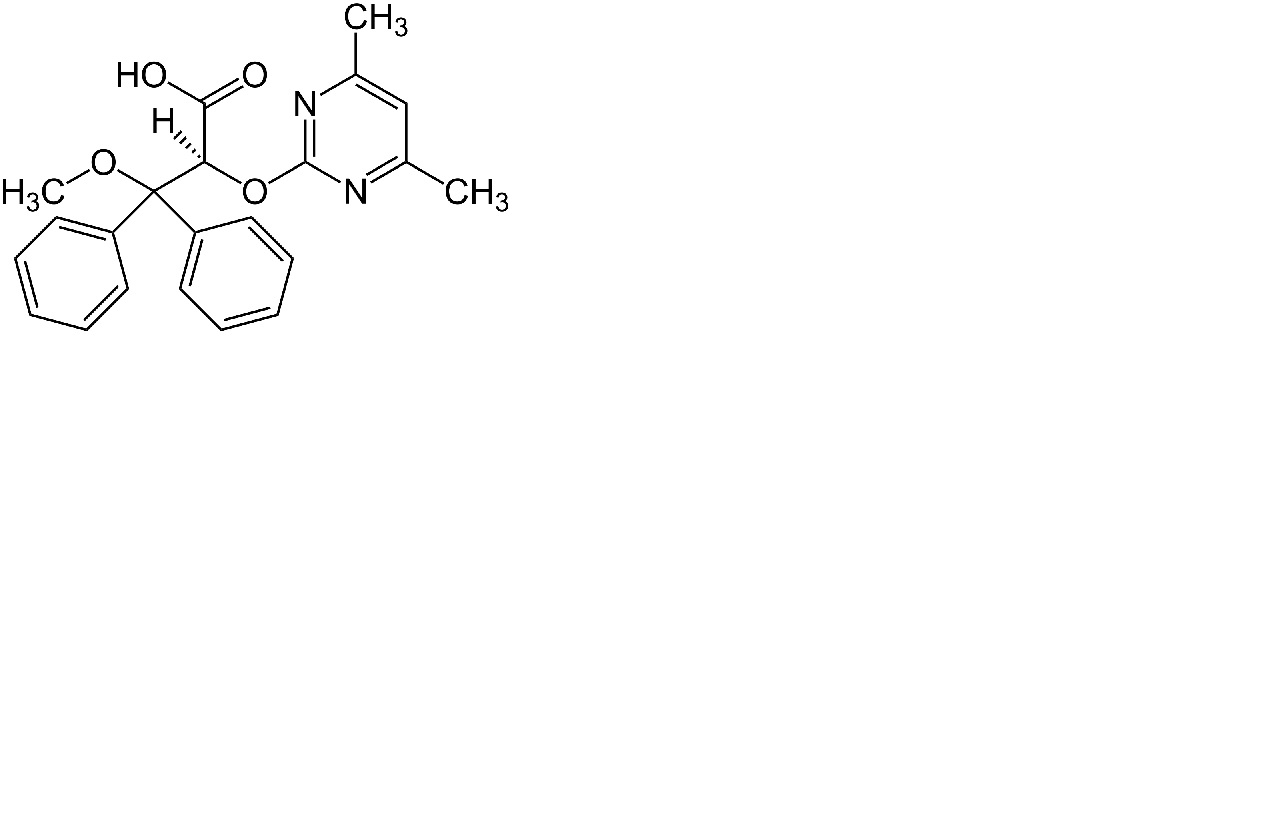
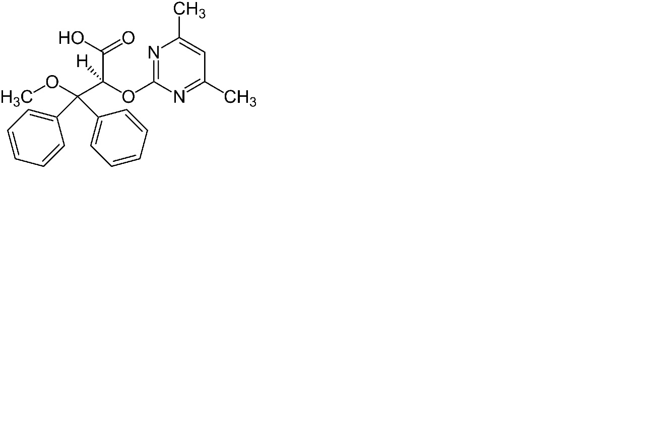
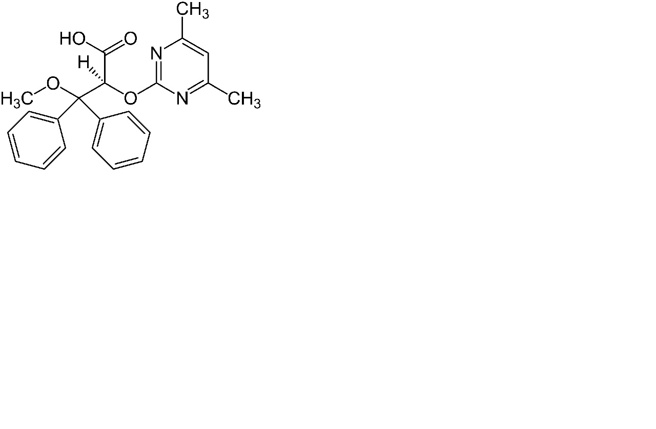
Vazodilatator   Ambrisentan  
Peroralna raztopina
Stabilnost farmacevtskih preparatov Stabilnost mešanice Faktorji, ki vplivajo na stabilnost Kompatibilnost Viri pdf
   Kemična formula  

Peroralna raztopina
Stabilnost mešanice   Peroralna raztopina   Stabilnost mešanice : Ambrisentan     
ni podatka

  Mentions Légales