Zadnji put ažurirano :
18/03/2026
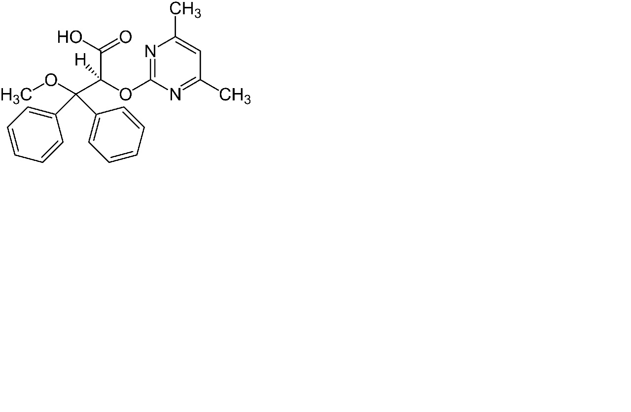
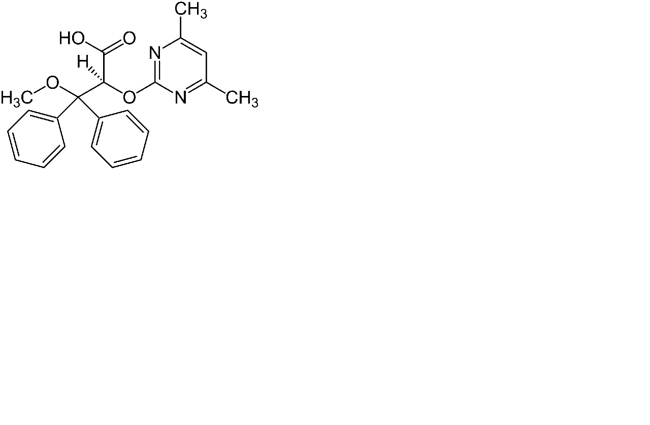
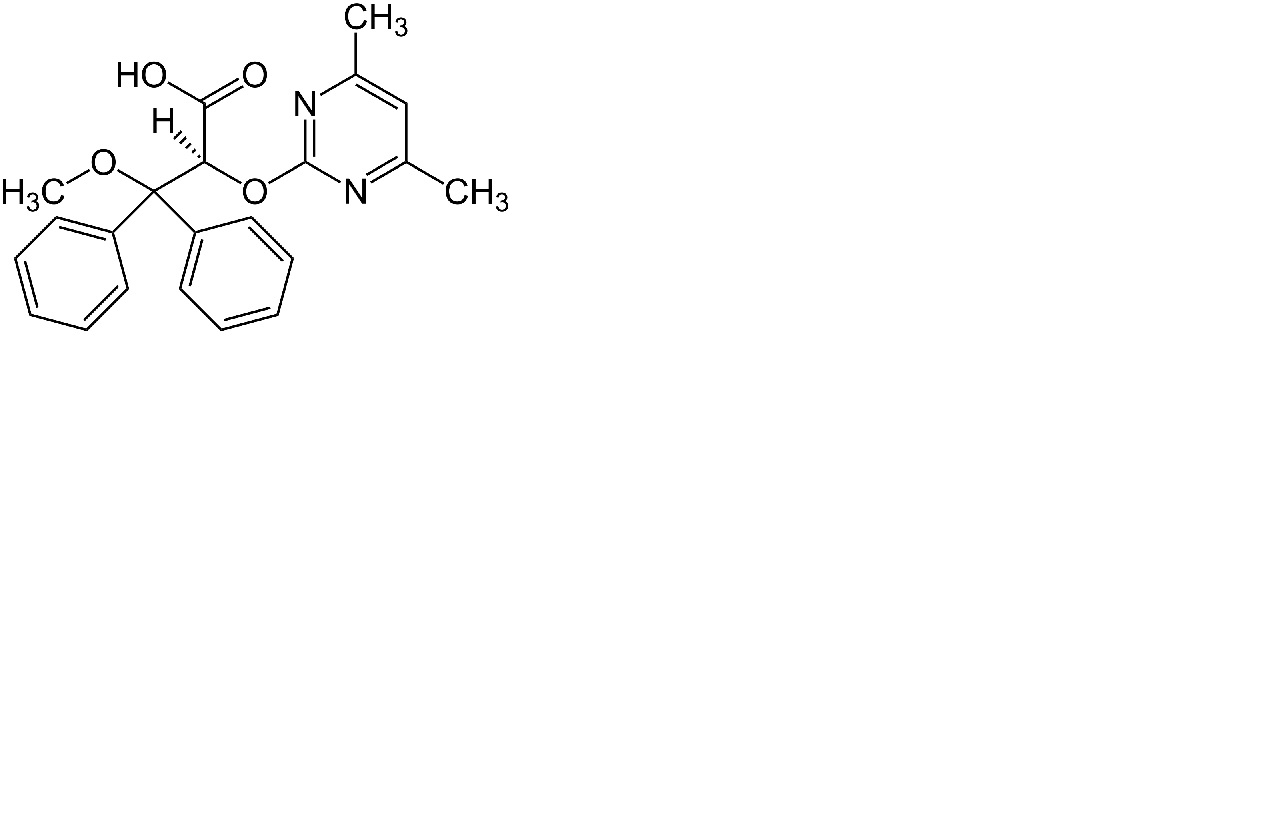
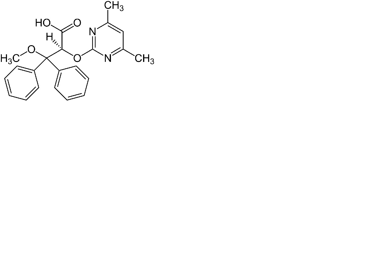
vazodilatator   Ambrisentan  
oralna otopina
Stabilnost farmaceutskih pripravaka Stabilnost mješavine Stabilizacijski faktor Kompatibilnosti Bibliografija pdf
   Kemijska struktura  

oralna otopina
Stabilnost mješavine   oralna otopina     Stabilnost mješavine : Ambrisentan     
bez podataka

  Mentions Légales