Poslední aktualizace :
18/03/2026
Vasodilatans   Ambrisentan  
Perorální roztok
Stabilita farmaceutických přípravků Stabilita směsí Faktory ovlivňující stabilitu Kompatibilita Odkazy pdf
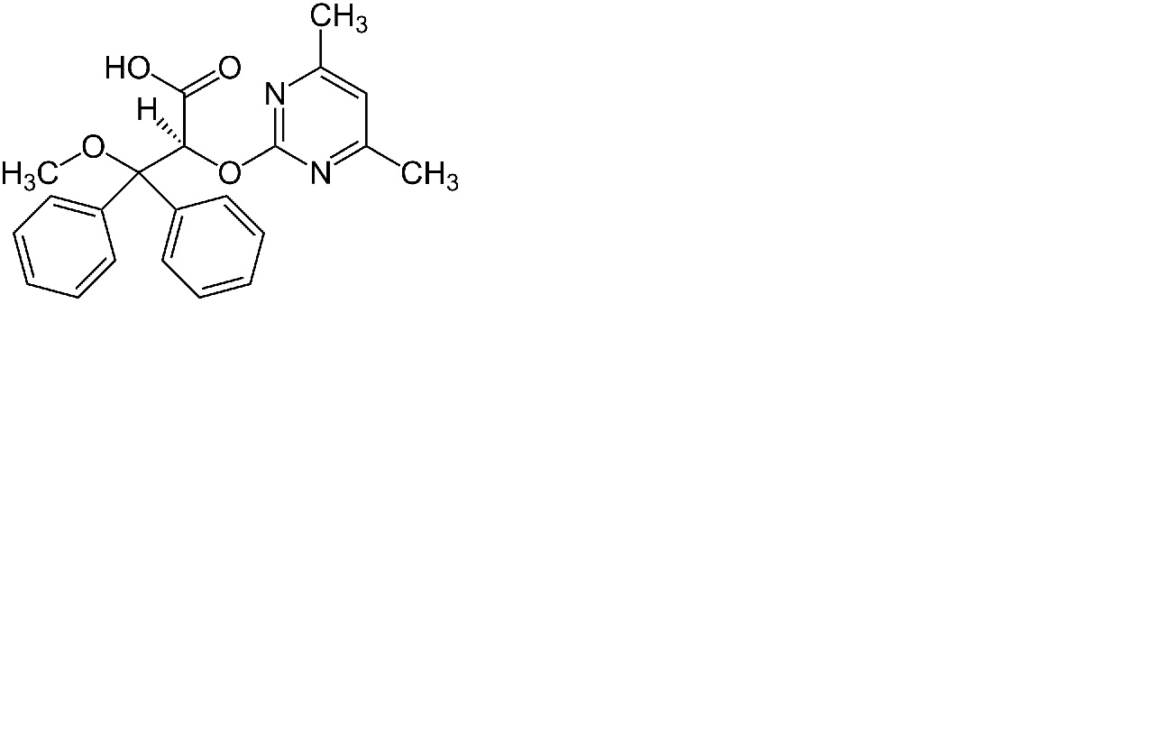
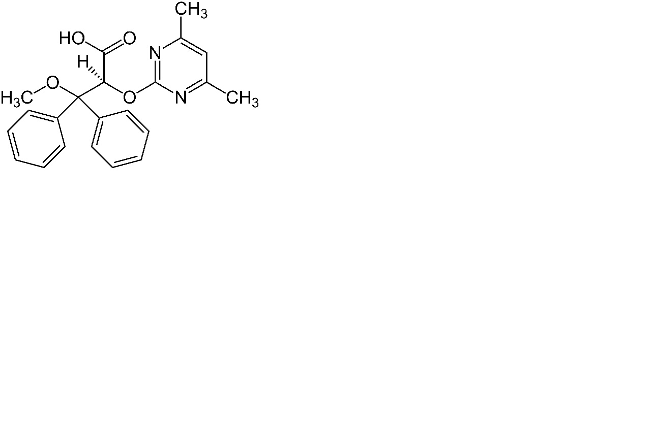
   Chemický vzorec  

Perorální roztok
Stabilita směsí   Perorální roztok   Stabilita směsí : Ambrisentan     
žádná data

  Mentions Légales