آخر تحديث :
18/03/2026
موسع الشرايين   Ambrisentan  
عن طريق الفم
استقرار المستحضرات الصيدلانية استقرار مخاليط العوامل التي تؤثر على الاستقرار التوافق مراجع pdf
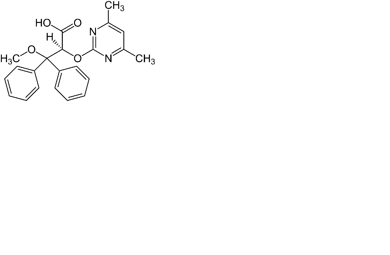
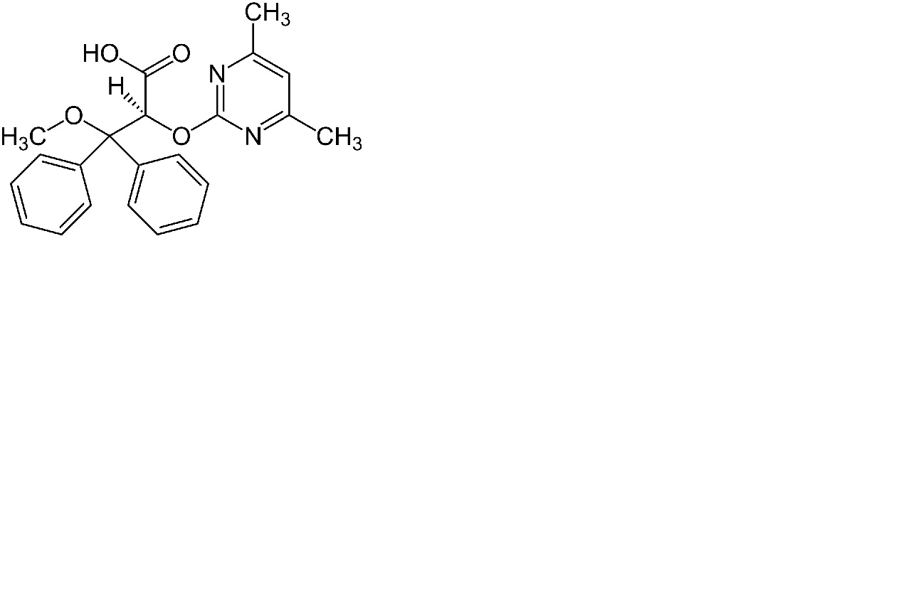
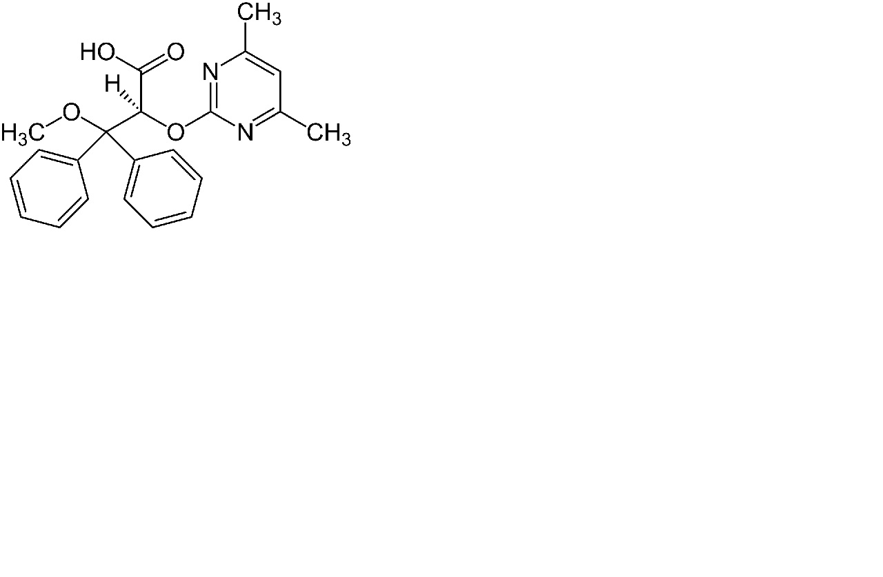
   التركيب الكيميائي  

عن طريق الفم
استقرار مخاليط   عن طريق الفم     استقرار مخاليط : Ambrisentan     
لا توجد بيانات

  Mentions Légales