Son güncelleme :
18/03/2026
Vazodilatör   Ambrisentan  
Oral solüsyon / oral çözelti
Farmasötik preparatlar Kararlılığı Karışımlardaki stabilitesi Stabiliteyi etkileyen faktörler Uyumluluk Kaynaklar pdf
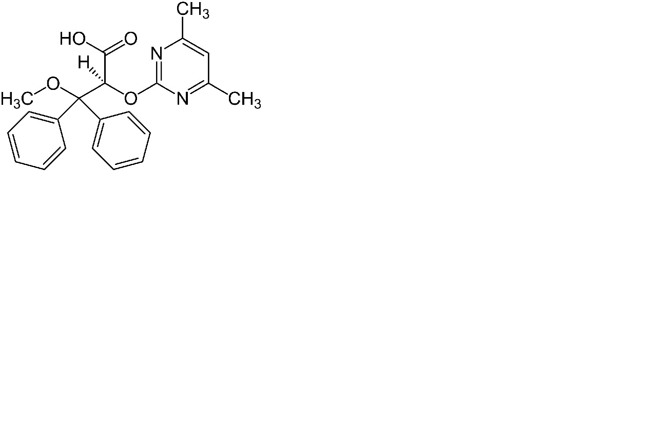
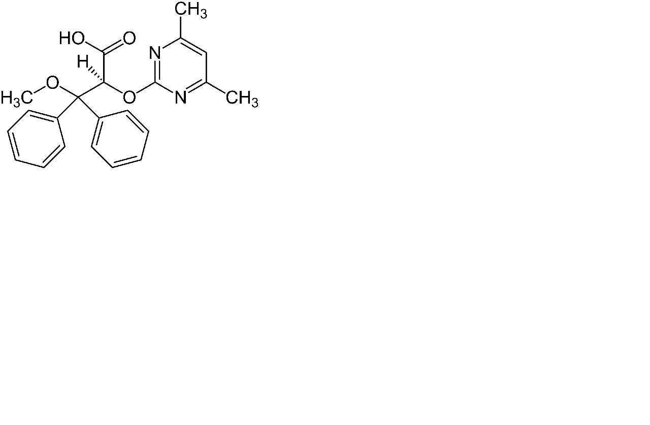
   Kimyasal yapı   

Oral solüsyon / oral çözelti

Stabiliteyi etkileyen faktörler    Oral solüsyon / oral çözelti   Stabiliteyi etkileyen faktörler : Ambrisentan        
veri yok

  Mentions Légales